آخر تحديث :
27/01/2026
مضاد للفطريات   Amphotericin B  
حقن
الأيروصولات عن طريق الفم  غسول الفم قطرات العين
الاستقرار في حلول استقرار مخاليط العوامل التي تؤثر على الاستقرار التوافق طريقة التعاطي مراجع pdf
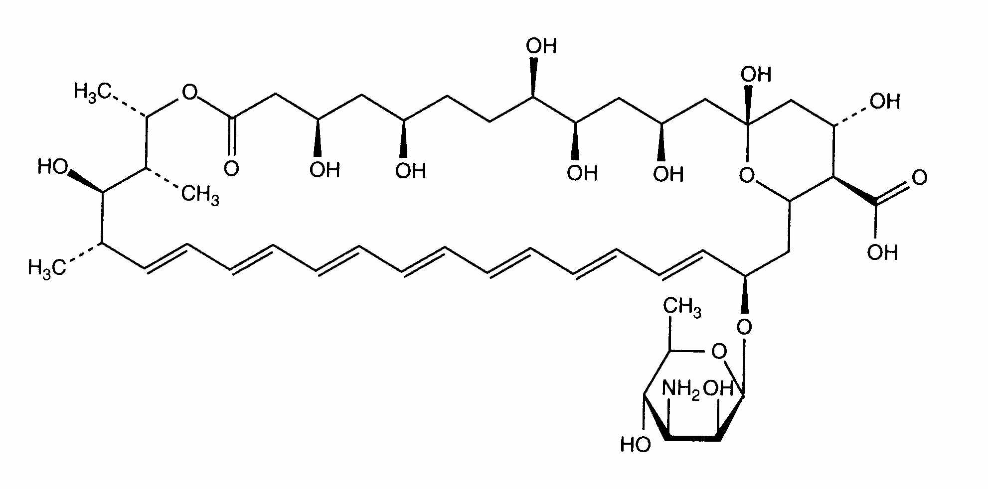
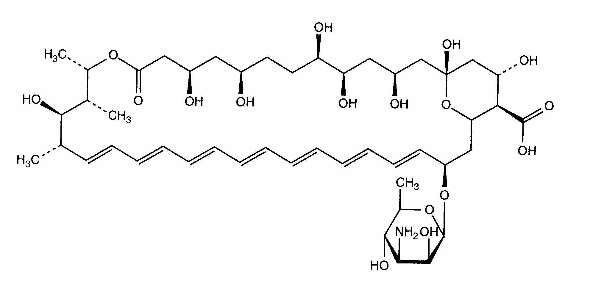
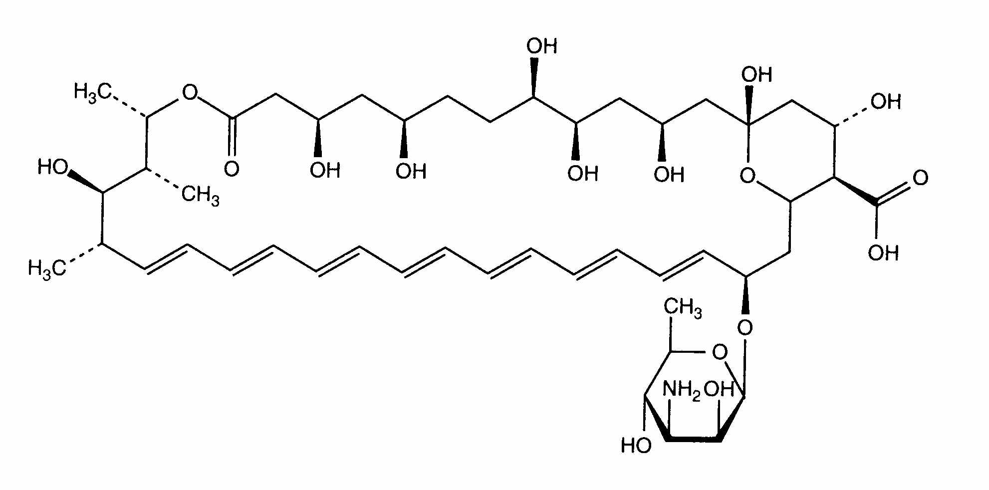
   التركيب الكيميائي  

حجز الاسم التجاري   حجز الاسم التجاري     

تحذير الأسماء التجاريه المختلفه قد تحتوي علي محتوي إضافات مختلفة حسب الدوله و المعمل

Fungizone ألمانيا, إيران, إيطاليا, البرتغال, الدنمارك, السويد, المغرب, الهند, الولايات المتحدة, ايرلندا, بريطانيا العظمي, تركيا, تونس, زيلاندا الجديدة, سويسرا, فرنسا, فنزويلا, فنلندا, كندا, كولومبيا, ماليزيا, هنغاريا, هولندا, يونان
استقرار مخاليط   حقن   استقرار مخاليط : Amphotericin B     
لا توجد بيانات

  Mentions Légales