Ultimo aggiornamento :
27/01/2026
Antimicotico   Amphotericin B  
Iniezione
Aerosol Collirio Collutorio Soluzione orale
Stabilità in soluzione Stabilità in miscela Fattori che influenzano la stabilità Compatibilità metodo di iniezione Bibliografia pdf
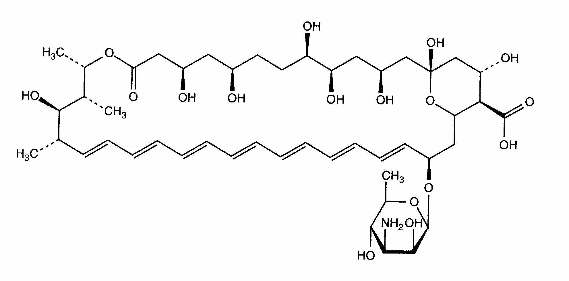
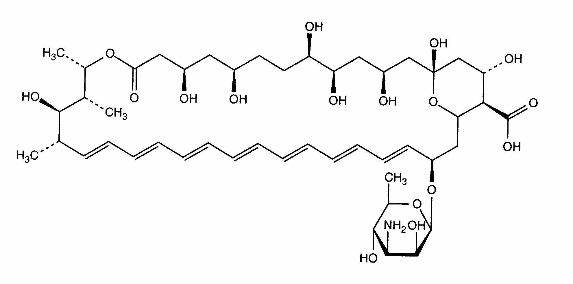
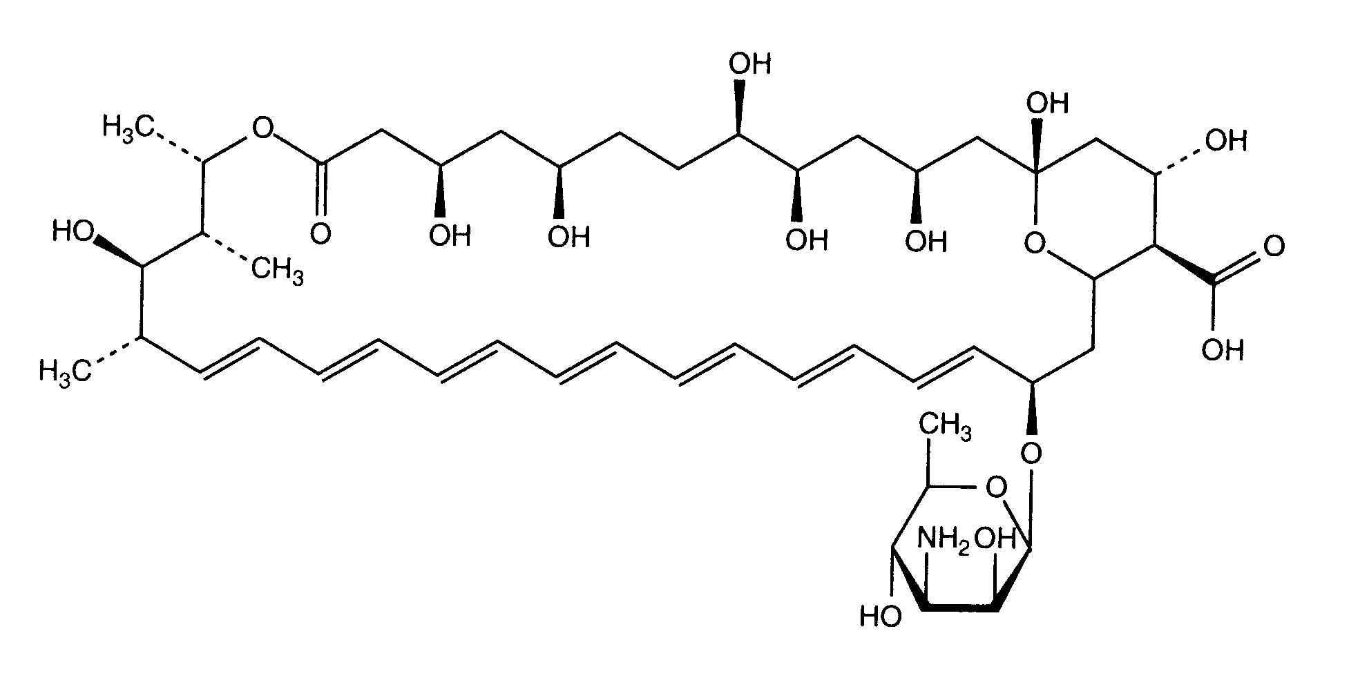
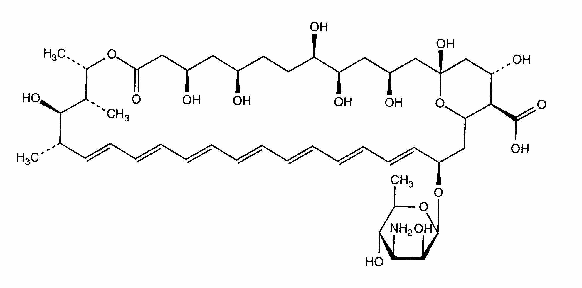
   Struttura chimica  

Nome commerciale   Nome commerciale     

Trade names are indicative and excipients composition can be different depending on the country and manufacturers

Fungizone Canada, Colombia, Danimarca, Finlandia, Francia, Germania, Gran Bretagna, Grecia, India, Iran, Irlanda, Italia, Malaysia, Marocco, nuova Zelanda, Paesi Bassi, Portogallo, Stati Uniti d’America, Svezia, Svizzera, Tunisia, Turchia, Ungheria, Venezuela
Stabilità in miscela   Iniezione   Stabilità in miscela : Amphotericin B     
Assenza di dati

  Mentions Légales