Cập nhật lần cuối :
27/04/2026
Thuốc điều trị kí sinh trùng   Artesunate  
Thuốc đạn
Dạng tiêm
Tính ổn định của các chế phẩm Độ ổn định khi trộn lẫn Những yếu tố ảnh hưởng đến độ ổn định Khả năng tương thích Tài liệu tham khảo Pdf
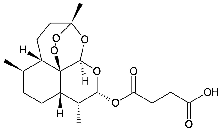
   Cấu trúc hóa học  

Thuốc đạn
Khả năng tương thích   Thuốc đạn   Khả năng tương thích : Artesunate              
Không có dữ liệu

  Mentions Légales