Poslední aktualizace :
27/04/2026
Priešparazitinis vaistas   Artesunate  
Žvakutė
Įpurškimas
Stabilumas farmacinių preparatų Mišinių stabilumas Stabilumą lemiantys veiksniai Suderinamumas Bibliografija pdf
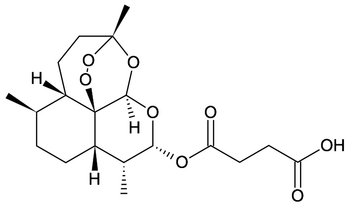
   Cheminė sandara  

Žvakutė
Suderinamumas   Žvakutė   Suderinamumas : Artesunate              
Nėra duomenų

  Mentions Légales