Τελευταία ενημέρωση :
27/04/2026
Αντιπαρασιτικό   Artesunate  
Υπόθετο
Ενέσιμο
Σταθερότητα και συμβατότητα των φαρμάκων Σταθερότητα σε μίγματα Παράγοντας που επηρεάζει τη σταθερότητα Συμβατότητες Βιβλιογραφία pdf
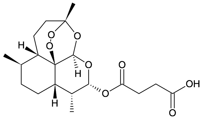
   χημική δομή  

Υπόθετο
Συμβατότητες    Υπόθετο   Συμβατότητες : Artesunate              
Δεν υπάρχουν πληροφορίες

  Mentions Légales