Seneste opdatering :
27/04/2026
Antiparacitær   Artesunate  
Stikpille
Injektion
Stabilitet af farmaceutiske tilberedninger Stabilitet i blandinger Faktorer der påvirker stabiliteten Kompatibilitet Bibliografi pdf
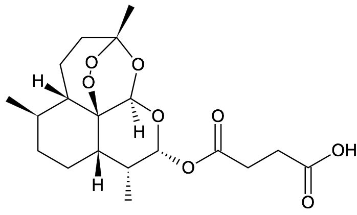
   Kemisk struktur  

Stikpille
Kompatibilitet   Stikpille   Kompatibilitet : Artesunate              
Ingen data

  Mentions Légales