آخر تحديث :
27/04/2026
مضاد للطفيليات   Artesunate  
تحميلة
حقن
استقرار المستحضرات الصيدلانية استقرار مخاليط العوامل التي تؤثر على الاستقرار التوافق مراجع pdf
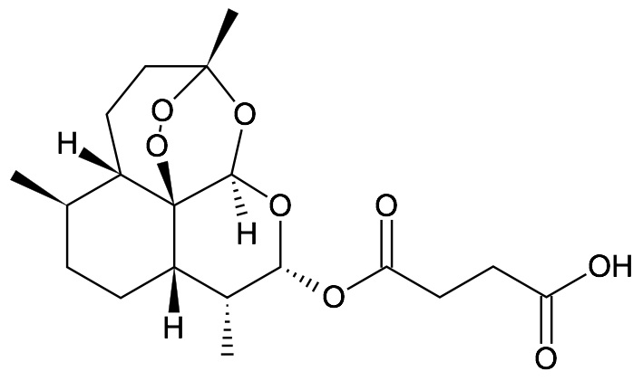
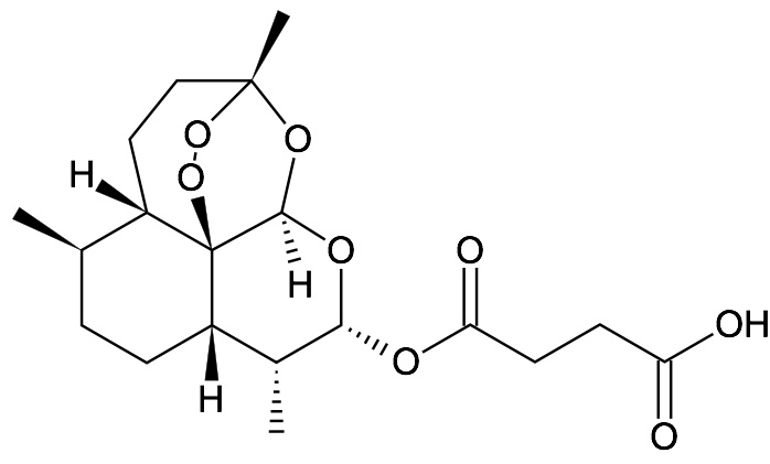
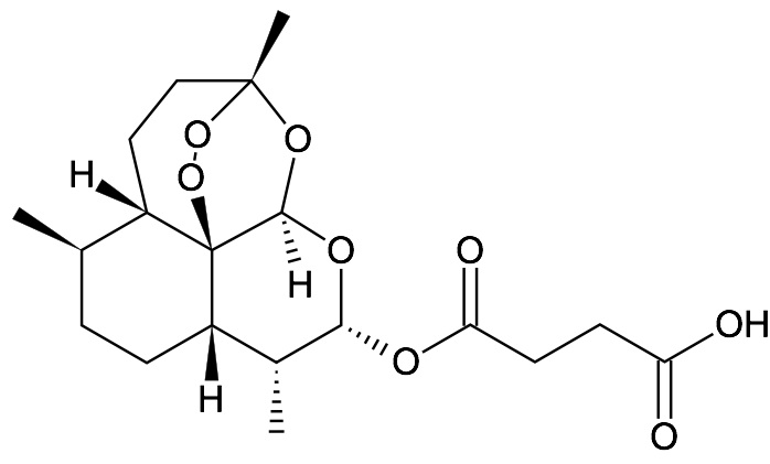
   التركيب الكيميائي  

تحميلة
التوافق   تحميلة   التوافق : Artesunate              
لا توجد بيانات

  Mentions Légales