Son güncelleme :
27/04/2026
Antiparazitik   Artesunate  
Fitil
Enjeksiyon
Farmasötik preparatlar Kararlılığı Karışımlardaki stabilitesi Stabiliteyi etkileyen faktörler Uyumluluk Kaynaklar pdf
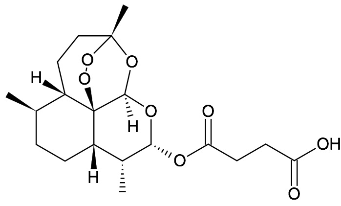
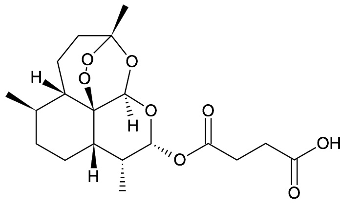
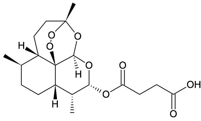
   Kimyasal yapı   

Fitil
Uyumluluk   Fitil   Uyumluluk : Artesunate              
veri yok

  Mentions Légales