Senaste uppdateringen :
27/04/2026
Antiparasitärt medel   Artesunate  
Stolpiller
injektion
Stabilitet av läkemedel Stabilitet i blandningar Faktorer som påverkar stabiliteten Kompatibilitet Hänvisningar pdf
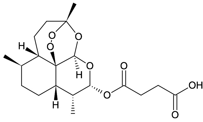
   Molekylstruktur  

Stolpiller
Kompatibilitet   Stolpiller   Kompatibilitet : Artesunate              
Ingen uppgift

  Mentions Légales