Ultimele actualizari :
27/04/2026
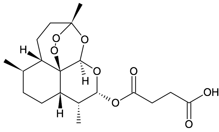
Antiparazitar   Artesunate  
Supozitoare
Injectabil
Stabilitatea preparatelor farmaceutice Stabilitatea in amestec Factorii care influenteaza stabilitatea Compatibilitate Bibliografie pdf
   Formula chimica  

Supozitoare
Compatibilitate   Supozitoare   Compatibilitate : Artesunate              
Absenta de date

  Mentions Légales