Posledná aktualizácia :
27/04/2026
antiparazitikum   Artesunate  
Čapík
Injekcia
Stabilita farmaceutických prípravkov Stabilita v zmesiach Faktory ovplyvňujúce stabilitu Kompatibility Odkazy na literatúru PDF
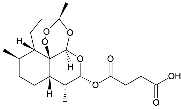
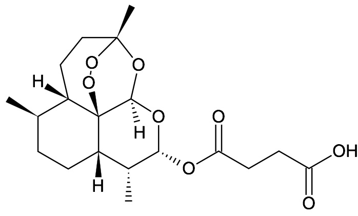
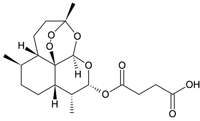
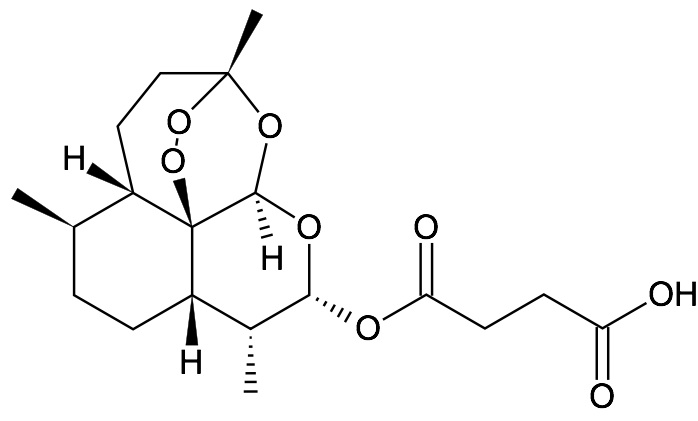
   Chemický vzorec  

Čapík
Kompatibility   Čapík   Kompatibility : Artesunate              
žiadne údaje

  Mentions Légales