Ultimo aggiornamento :
27/04/2026
Antiparassitario   Artesunate  
supposta
Iniezione
Stabilità dei preparati farmaceutici Stabilità in miscela Fattori che influenzano la stabilità Compatibilità Bibliografia pdf
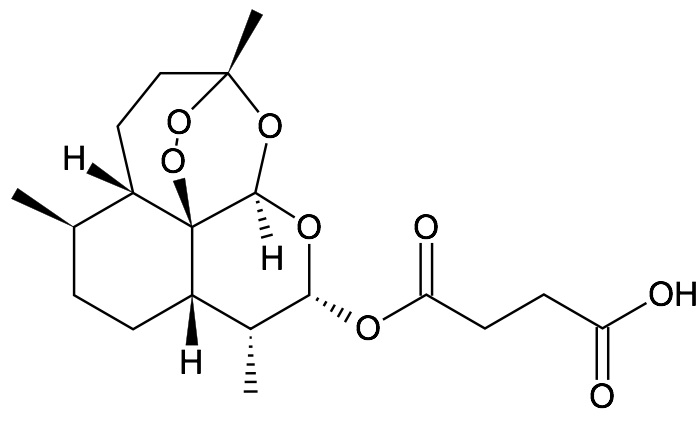
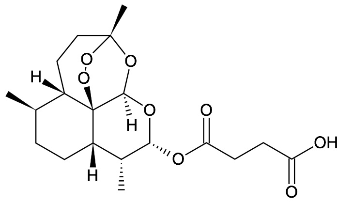
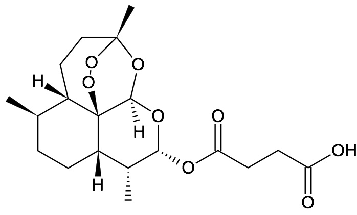
   Struttura chimica  

supposta
Compatibilità   supposta   Compatibilità : Artesunate              
Assenza di dati

  Mentions Légales