Siste oppdatering :
27/04/2026
Antiparasittmiddel   Artesunate  
Stikkpille
Injeksjon
Stabilitet av farmasøytiske preparater Stabilitet i blandinger Faktorer som påvirker stabiliteten Kompatibilitet Referanser pdf
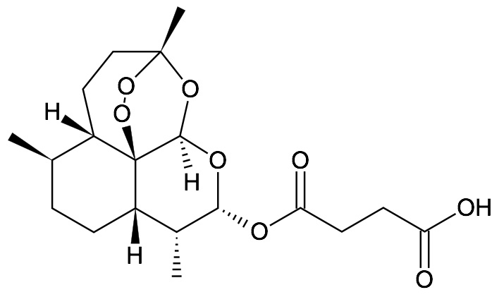
   Kjemisk struktur  

Stikkpille
Kompatibilitet   Stikkpille   Kompatibilitet : Artesunate              
Ingen opplysninger

  Mentions Légales