Останнє оновлення :
27/01/2026
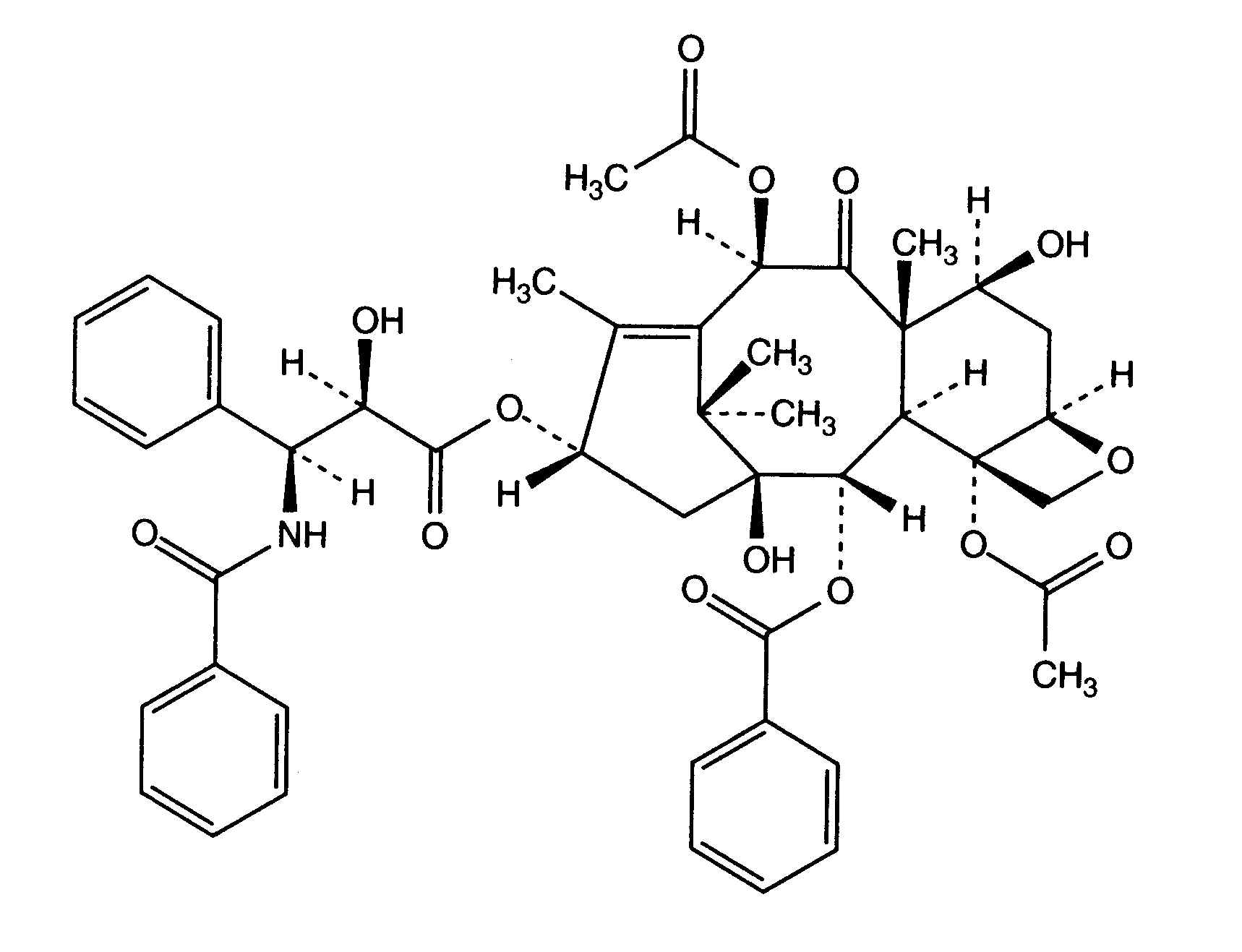
Протипухлинний препарат   Paclitaxel  
ін'єкція
Стійкість в розчинах Стійкість сумішей Фактори, що впливають на стабільність Сумісність Шлях введення Список літератури pdf
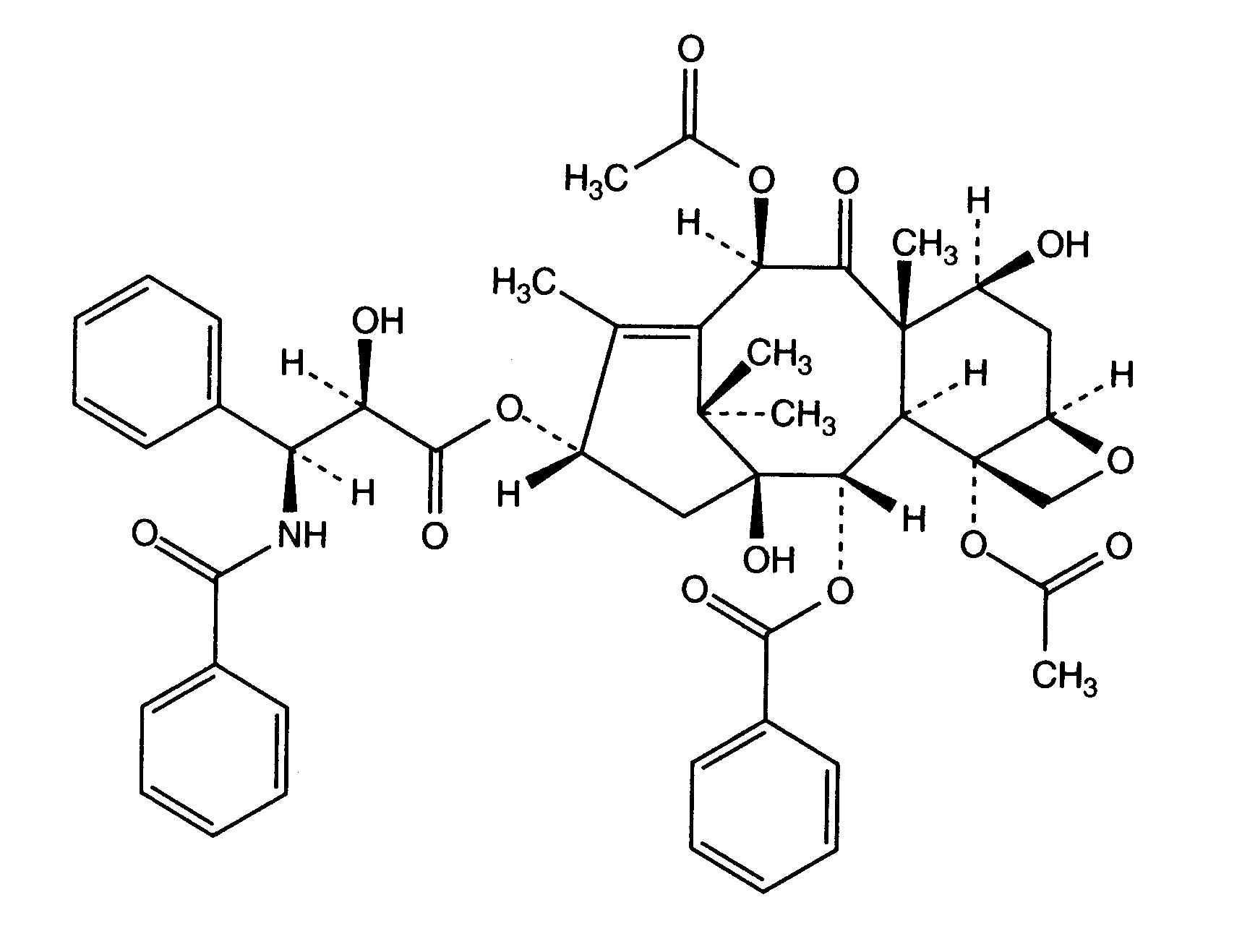
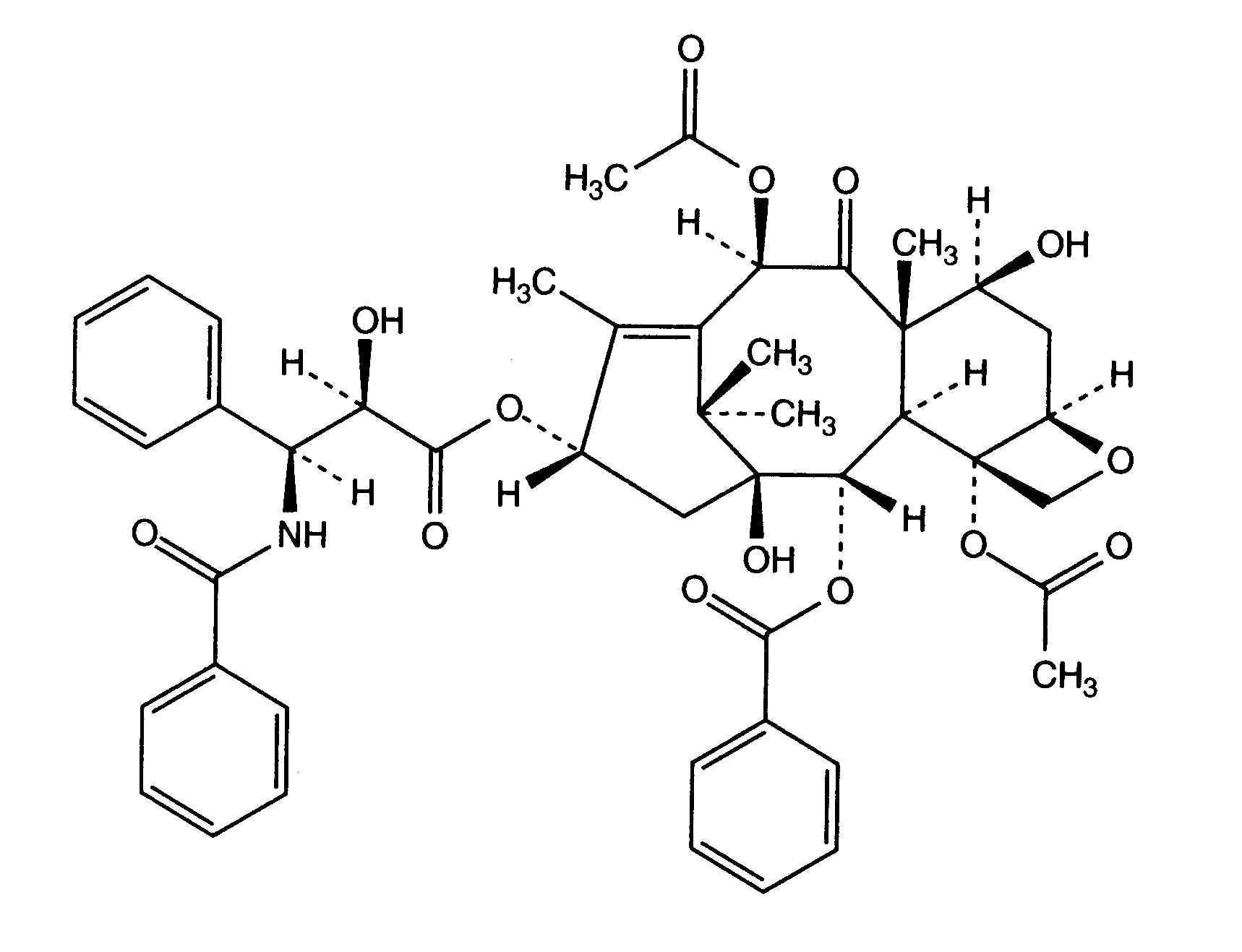
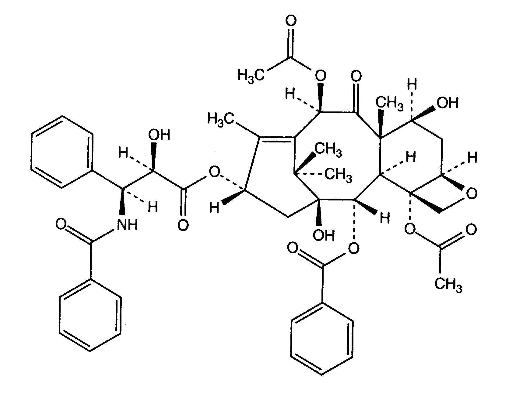
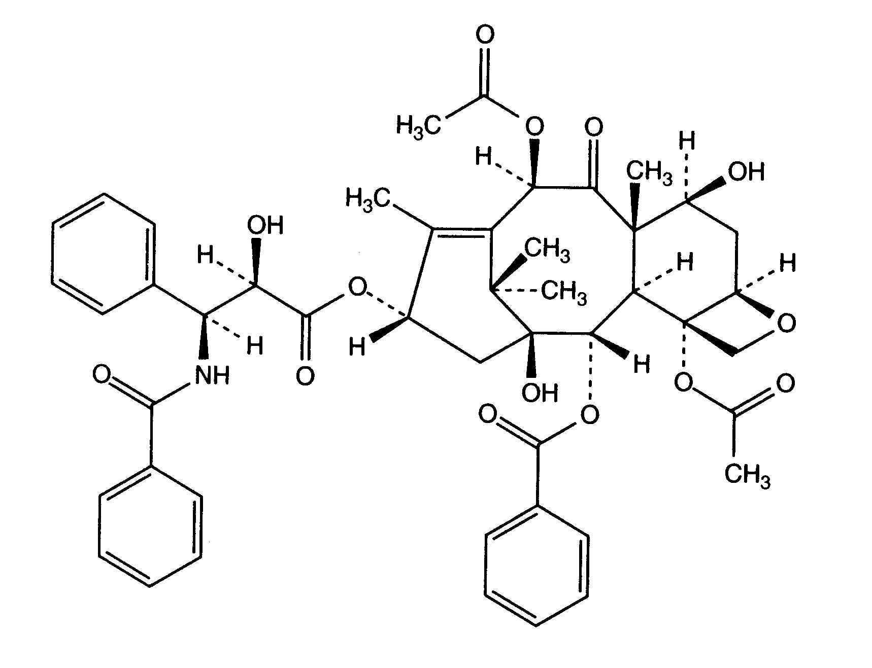
   Хімічна структура  

Торгова назва   Торгова назва     

Торгові назви є орієнтовними, а склад допоміжних речовин може бути різним залежно від країни та виробника

Aclipak Малайзія
Acoexcel Мексика
Acupaxil Марокко
Anzatax Єгипет, Іран, Малайзія, Марокко, Нова Зеландія, Об'єднані Арабські Емірати, Перу, Саудівська Аравія, Туніс, Туреччина
Aritaxel Німеччина
Cantaxel Індія
Clitaxel Аргентина, Венесуела
Dalys Аргентина
Ebetaxel Іран, Австрія, Марокко, Саудівська Аравія, Туніс, Туреччина
Genexol Єгипет, Індія, Іран
Onxol Сполучені Штати Америки
Paclinova Аргентина
Paclitaxin Бразилія, Люксембург, Малайзія, Словенія
Parexel Бразилія, Венесуела, Еквадор, Колумбія
Paxene Ірландія, Іспанія, Греція, Данія, Нідерланди, Польща
Poltaxel Польща
Ribotax Німеччина
Taxol Єгипет, Іран, Італія, Австрія, Бразилія, Венесуела, Греція, Данія, Колумбія, Малайзія, Марокко, Нідерланди, Нова Зеландія, Об'єднані Арабські Емірати, Перу, Польща, Португалія, Словенія, Туреччина, Швейцарія, Швеція, Японія
Taxomedac Німеччина
Vitax Бразилія, Перу, Туреччина
Шлях введення   Шлях введення :Paclitaxel     
Маршрут
Внутрішньовенне вливання
Безперервна інфузія

  Mentions Légales