最新更新 :
27/01/2026
細胞増殖抑制薬   Paclitaxel  
注射薬
溶媒内の安定性 混合時の安定性 安定性に影響する因子 互換性 投与経路 引用文献 PDF
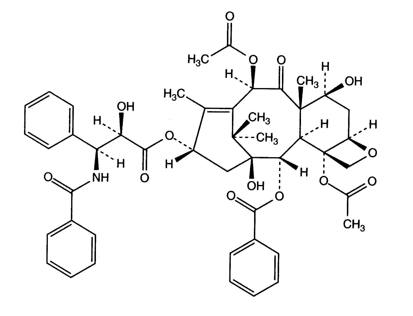
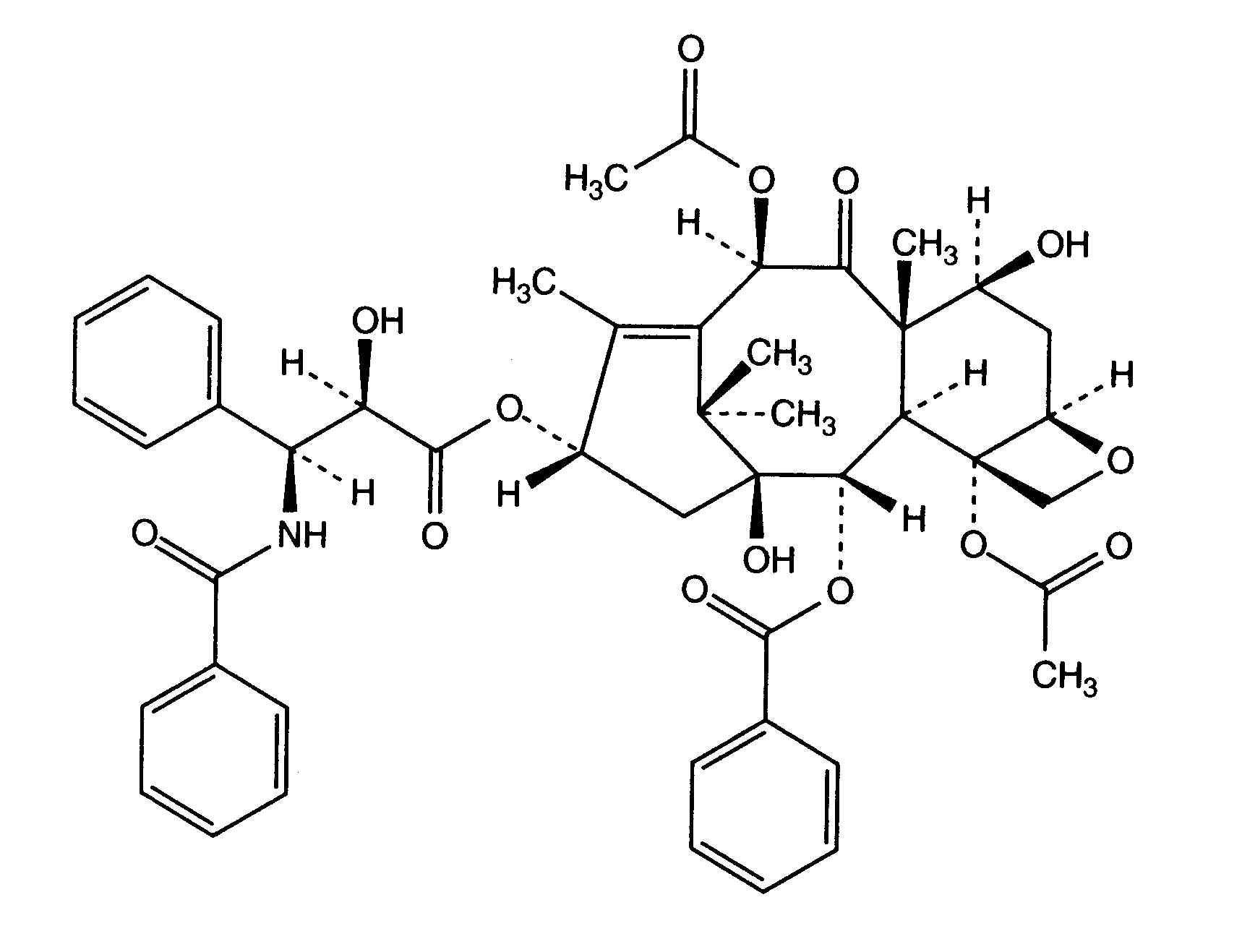
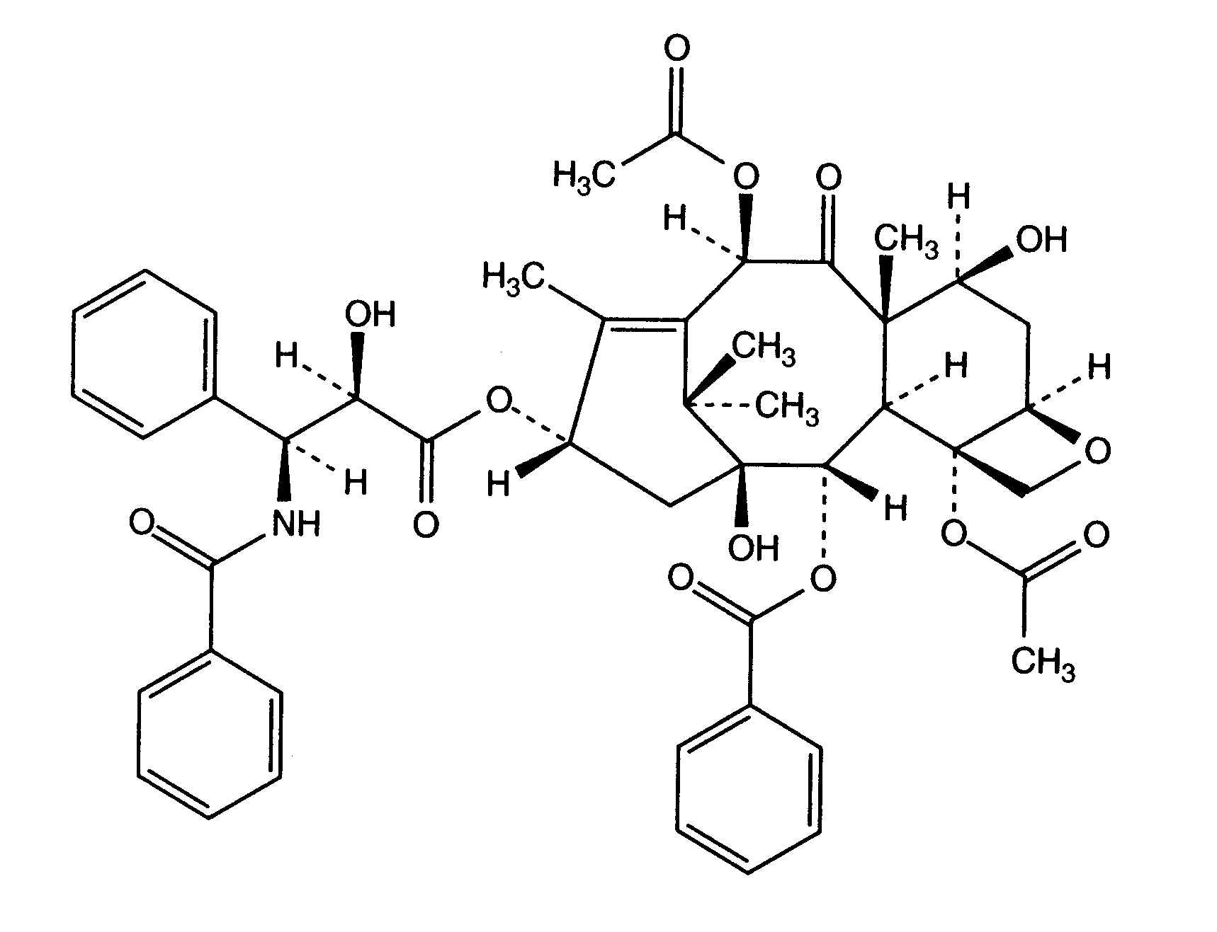
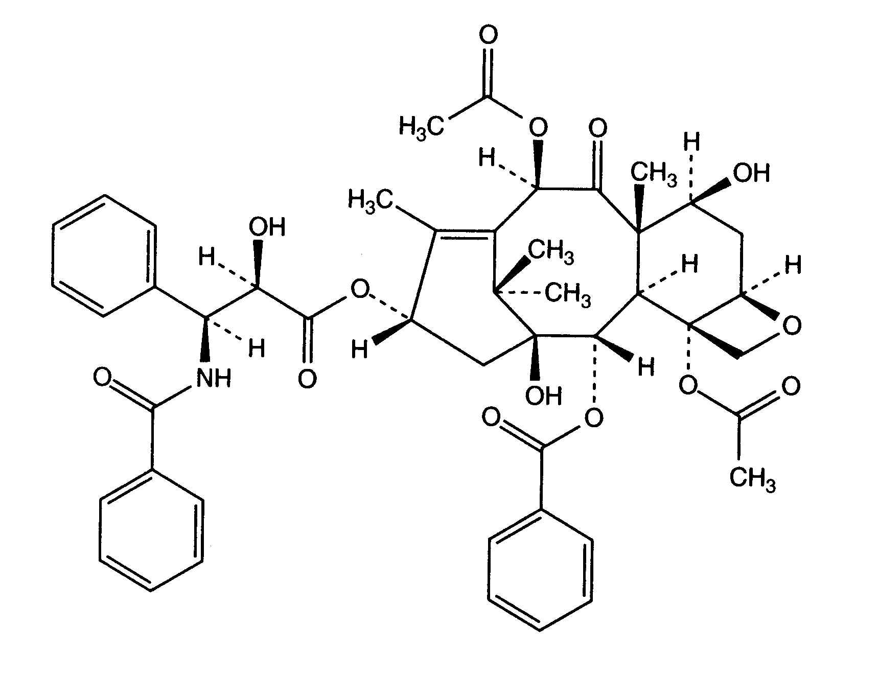
   化学構造  

商品名   商品名     

商品名、賦形剤は国、製薬会社ごとに異なることがあります

Aclipak マレーシア
Acoexcel メキシコ
Acupaxil モロッコ
Anzatax アラブ首長国連邦, イラン, エジプト, サウジアラビア, チュニジア, トルコ, ニュージーランド, ペルー, マレーシア, モロッコ
Aritaxel ドイツ
Cantaxel インド
Clitaxel アルゼンチン, ベネズエラ
Dalys アルゼンチン
Ebetaxel イラン, オーストリア, サウジアラビア, チュニジア, トルコ, モロッコ
Genexol イラン, インド, エジプト
Onxol アメリカ
Paclinova アルゼンチン
Paclitaxin スロベニア, ブラジル, マレーシア, ルクセンブルグ
Parexel エクアドル, コロンビア, ブラジル, ベネズエラ
Paxene アイルランド, オランダ, ギリシア, スペイン, デンマーク, ポーランド
Poltaxel ポーランド
Ribotax ドイツ
Taxol アラブ首長国連邦, イタリア, イラン, エジプト, オランダ, オーストリア, ギリシア, コロンビア, スイス, スウェーデン, スロベニア, デンマーク, トルコ, ニュージーランド, ブラジル, ベネズエラ, ペルー, ポルトガル, ポーランド, マレーシア, モロッコ, 日本
Taxomedac ドイツ
Vitax トルコ, ブラジル, ペルー
投与経路   投与経路 :Paclitaxel     
経路
点滴静注
持続注射

  Mentions Légales