Dernière mise à jour :
27/01/2026
Anticancéreux   Paclitaxel  
injectable
Stabilité des solutions Stabilité en mélange Facteur influençant la stabilité Compatibilités Voie d’administration Bibliographie pdf
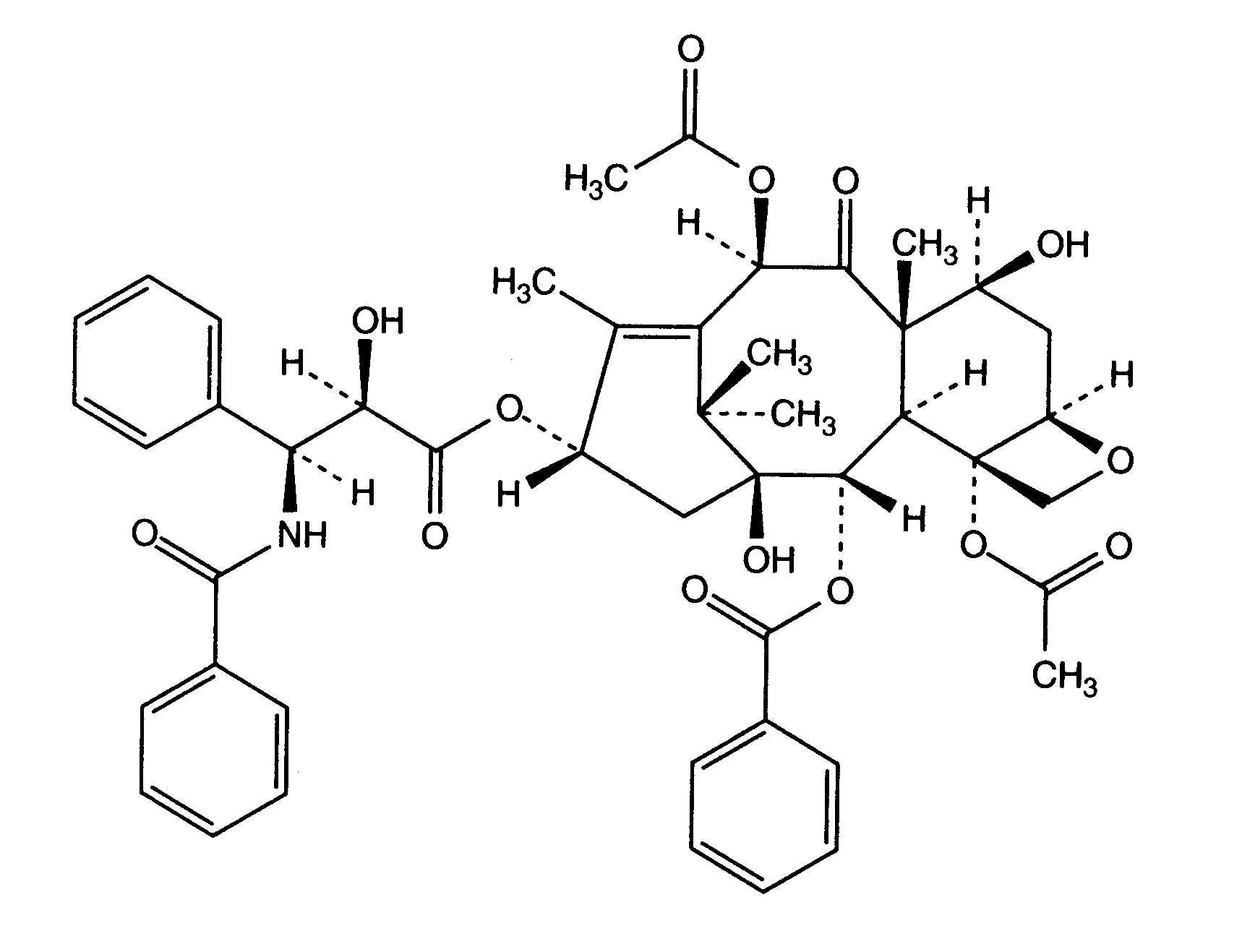
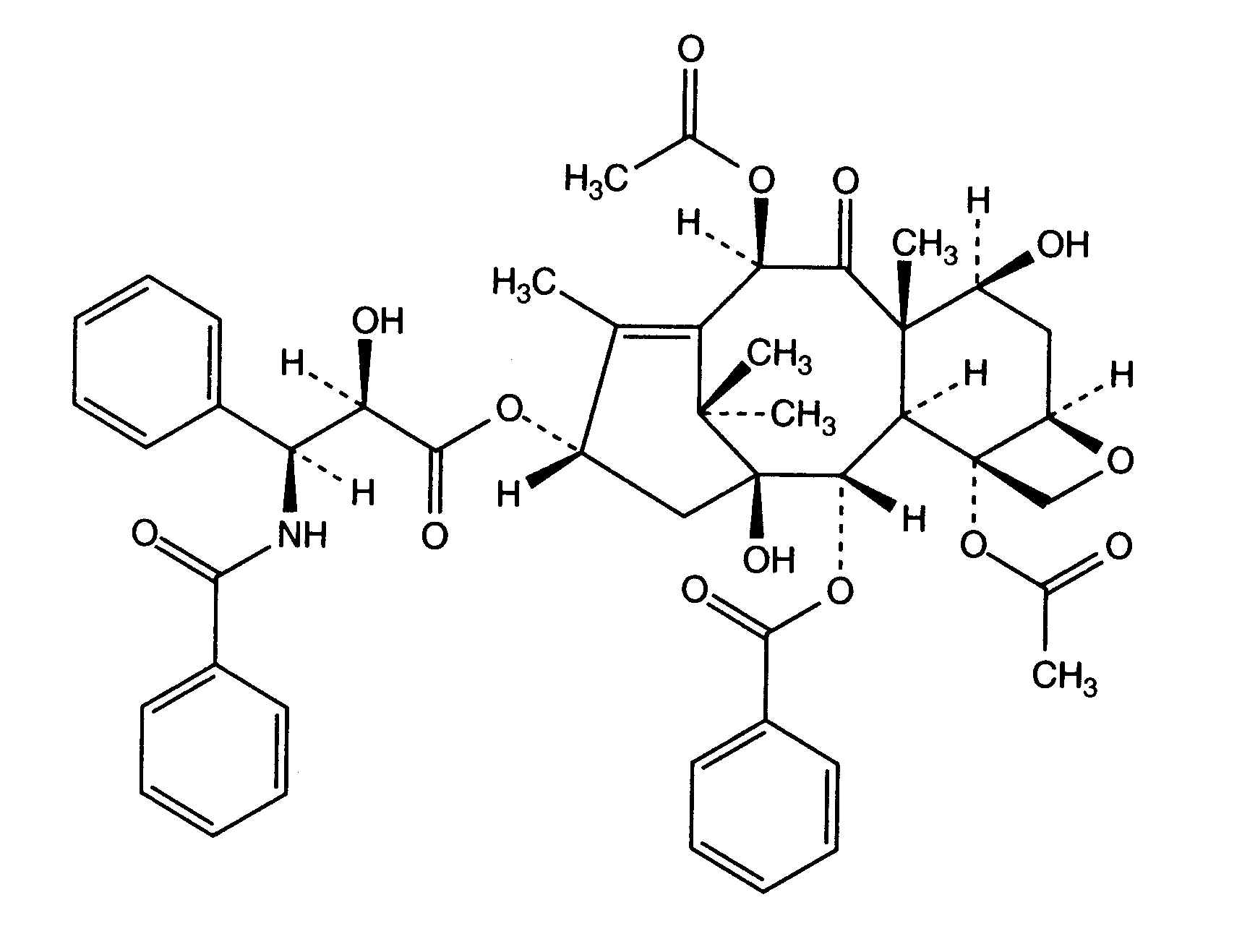
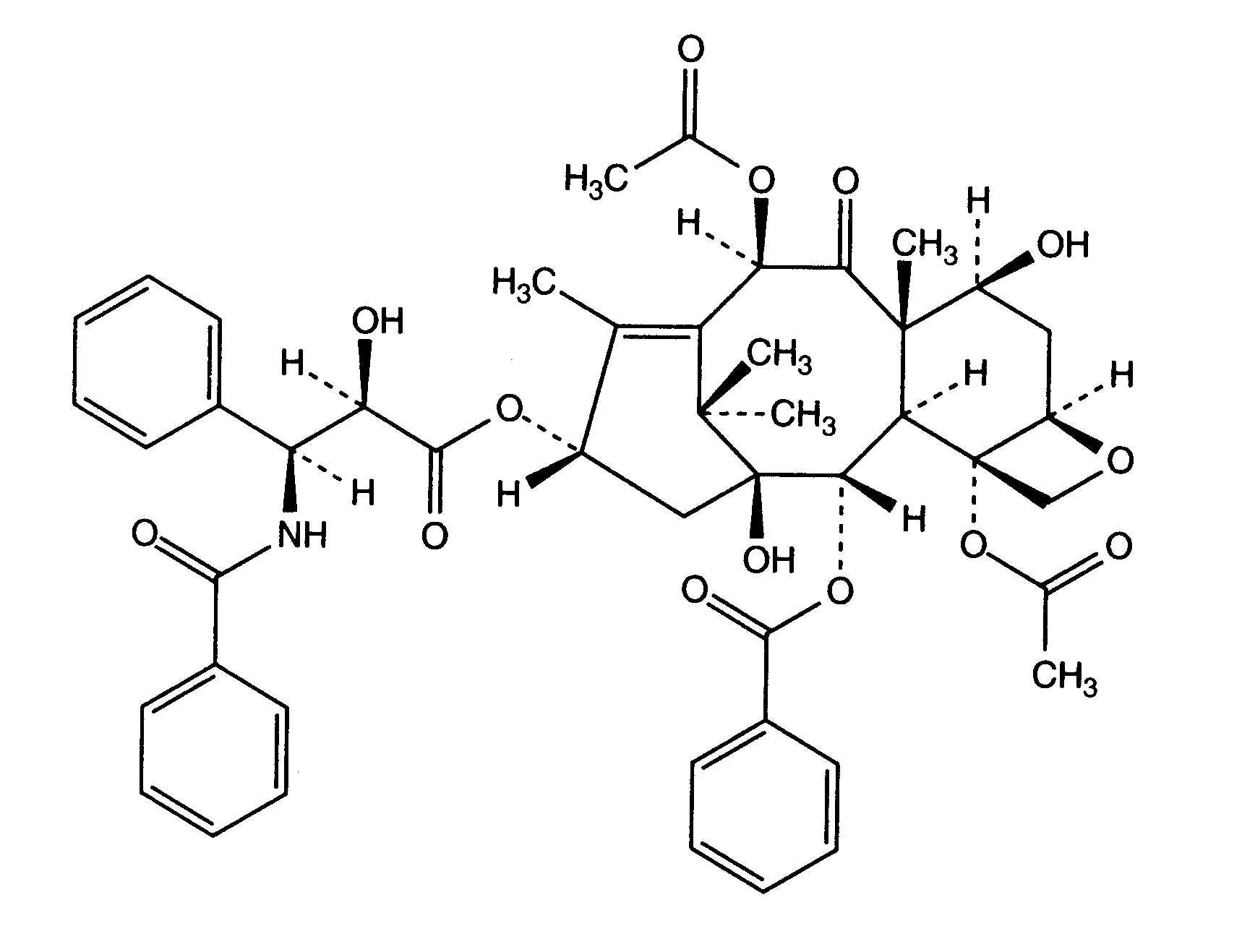
   Structure chimique  

Noms commerciaux   Noms commerciaux     

Les noms commerciaux sont donnés à titre indicatif et la composition en excipients peut être différente selon les pays et selon les laboratoires

Aclipak Malaisie
Acoexcel Mexique
Acupaxil Maroc
Anzatax Arabie Saoudite, Egypte, Emirats Arabes Unis , Iran, Malaisie, Maroc, Nouvelle Zélande, Pérou, Tunisie, Turquie
Aritaxel Allemagne
Cantaxel Inde
Clitaxel Argentine, Vénézuela
Dalys Argentine
Ebetaxel Arabie Saoudite, Autriche, Iran, Maroc, Tunisie, Turquie
Genexol Egypte, Inde, Iran
Onxol Etats Unis d’Amérique
Paclinova Argentine
Paclitaxin Brésil, Luxembourg, Malaisie, Slovénie
Parexel Brésil, Colombie, Equateur, Vénézuela
Paxene Danemark, Espagne, Grèce, Irlande, Pays bas, Pologne
Poltaxel Pologne
Ribotax Allemagne
Taxol Autriche, Brésil, Colombie, Danemark, Egypte, Emirats Arabes Unis , Grèce, Iran, Italie, Japon, Malaisie, Maroc, Nouvelle Zélande, Pays bas, Pérou, Pologne, Portugal, Slovénie, Suède, Suisse, Turquie, Vénézuela
Taxomedac Allemagne
Vitax Brésil, Pérou, Turquie
Voie d’administration   Voie d’administration :Paclitaxel     
Voie
Perfusion intraveineuse
Perfusion continue

  Mentions Légales