Zadnji put ažurirano :
27/01/2026
lijek protiv karcinoma   Paclitaxel  
injekcija
Stabilizacija rješenja Stabilnost mješavine Stabilizacijski faktor Kompatibilnosti način davanja lijeka Bibliografija pdf
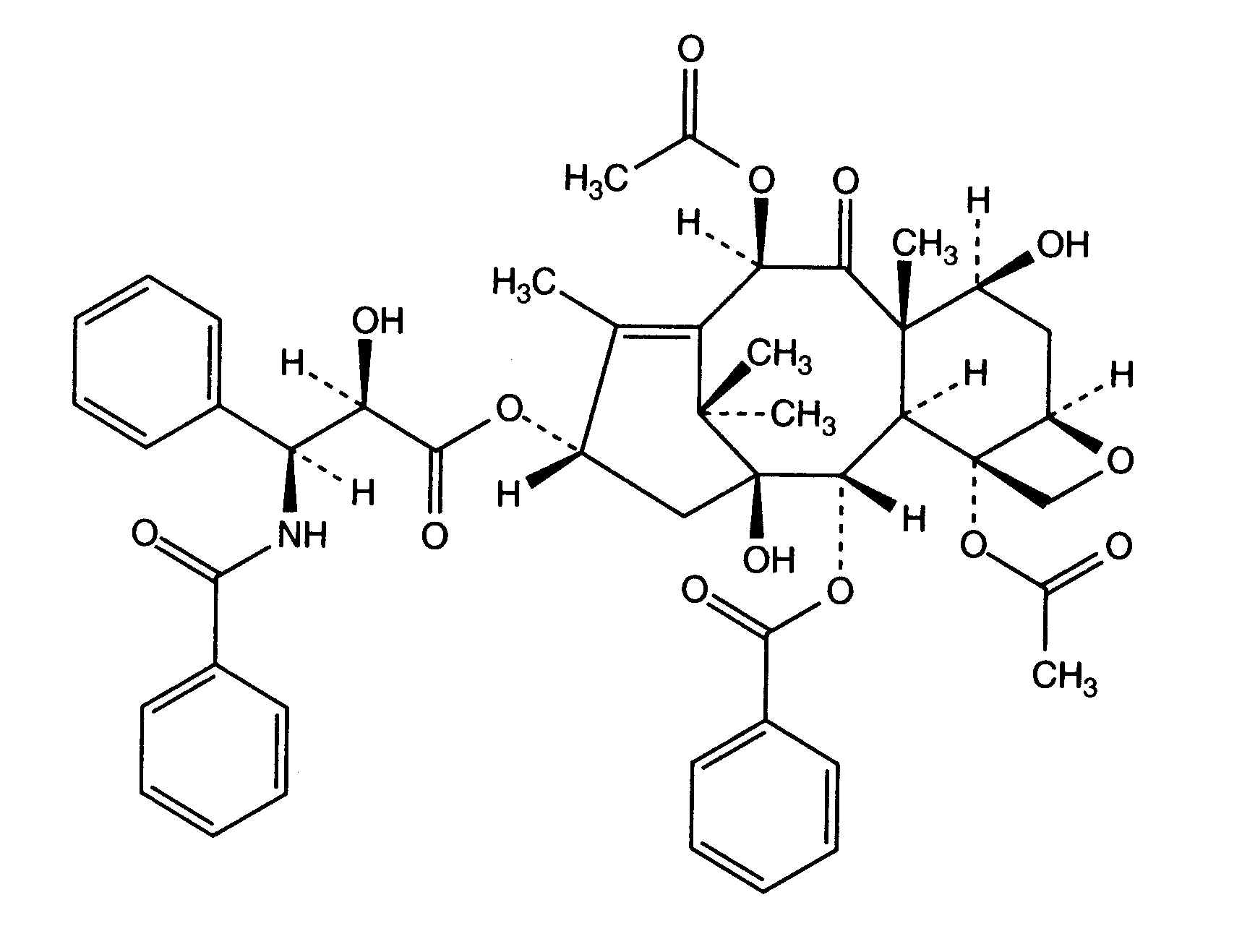
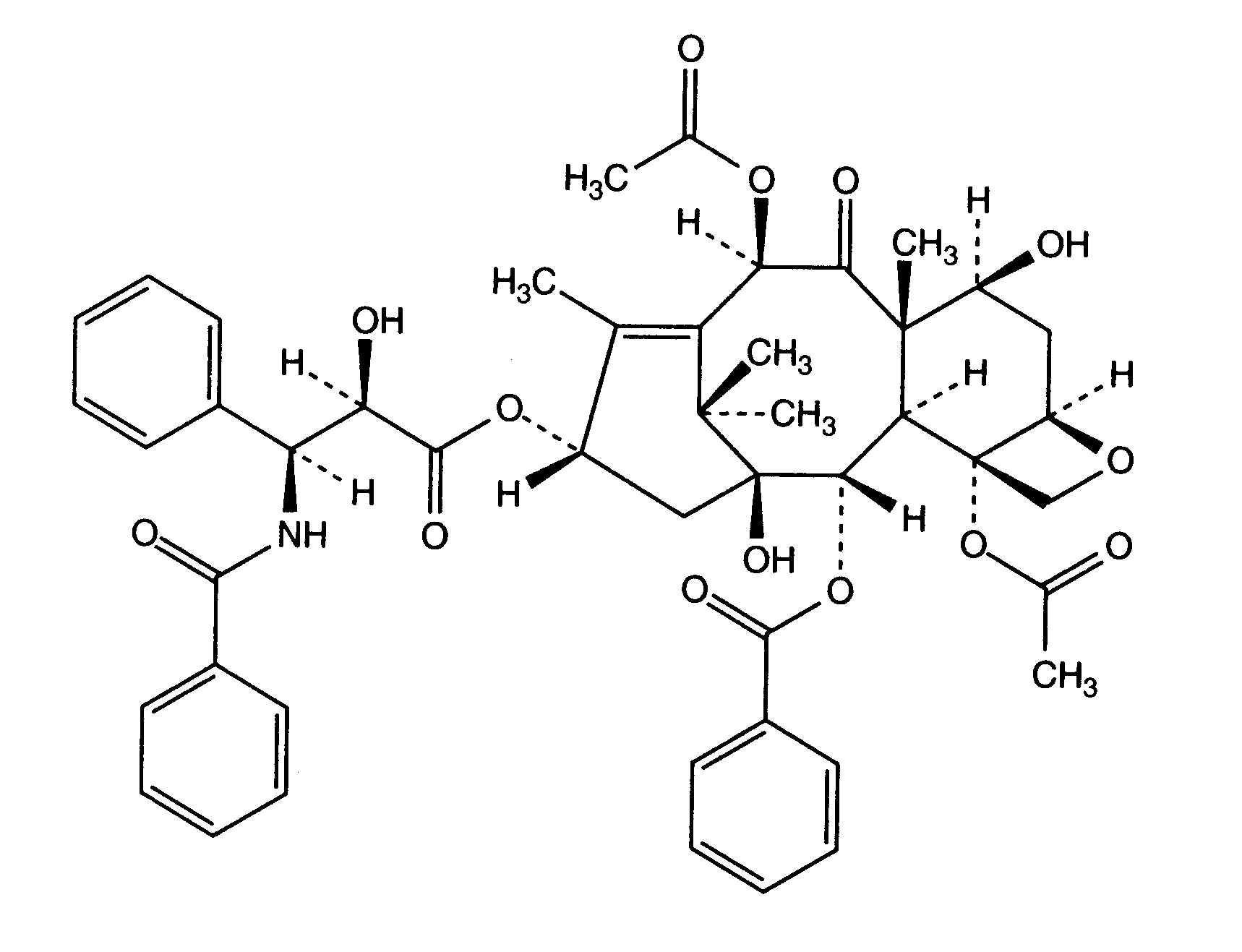
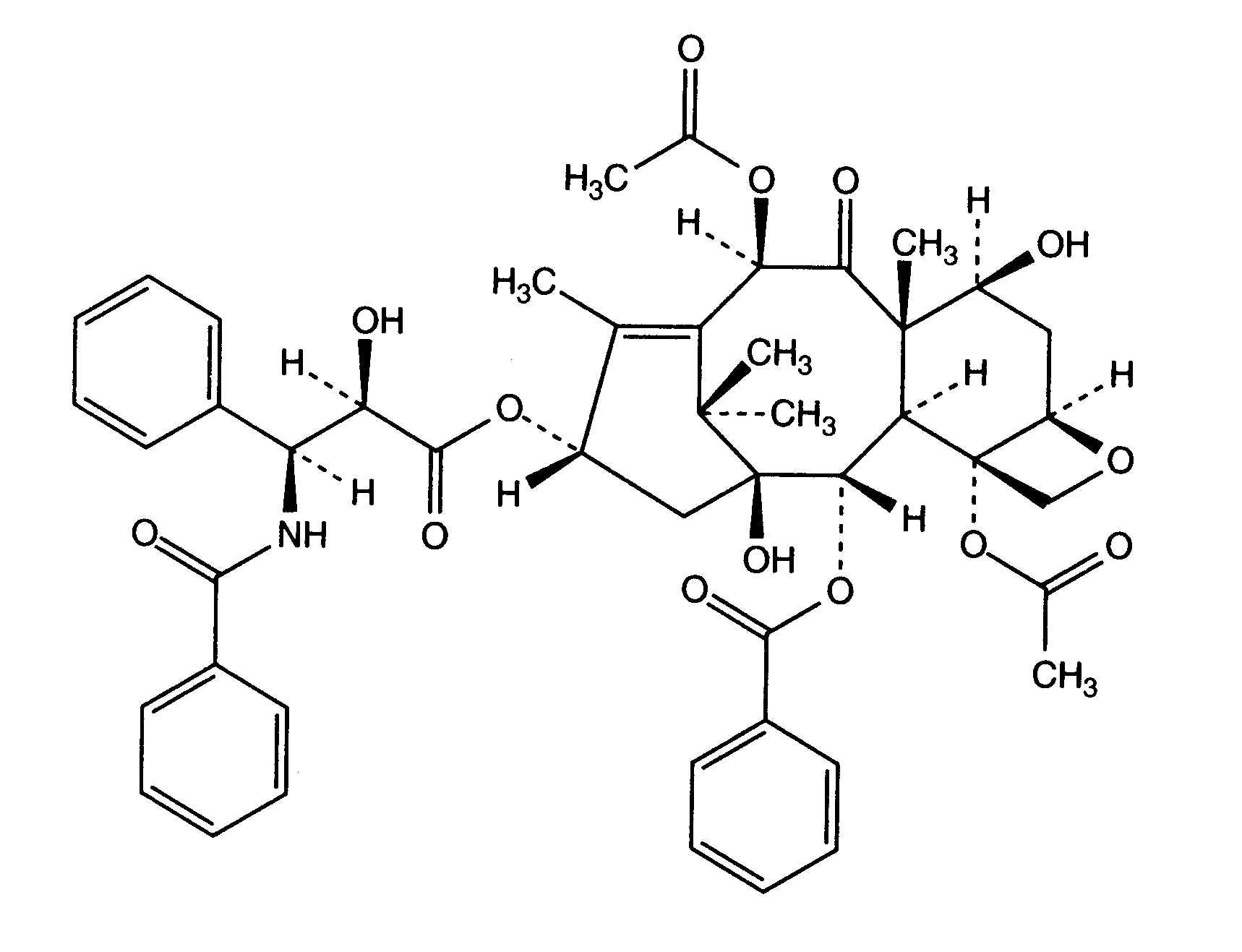
   Kemijska struktura  

Nekomercijalni   Nekomercijalni     

Zaštićeni nazivi su indikativni i sastav ekscipijensa može biti različit ovisno o državi i laboratorijima

Aclipak Malezija
Acoexcel Meksiko
Acupaxil Maroko
Anzatax Egipat, Iran, Malezija, Maroko, novi Zeland, Peru, Saudijska Arabija, Tunis, Turska, Ujedinjeni Arapski Emirati
Aritaxel Njemačka
Cantaxel Indija
Clitaxel Argentina, Venecuela
Dalys Argentina
Ebetaxel Austrija, Iran, Maroko, Saudijska Arabija, Tunis, Turska
Genexol Indija, Egipat, Iran
Onxol S A D
Paclinova Argentina
Paclitaxin Brazil, Luksemburg, Malezija, Slovenija
Parexel Brazil, Ekvador, Kolumbija, Venecuela
Paxene Danska, Grčka, Irska, Nizozemska, Poljska, Španjolska
Poltaxel Poljska
Ribotax Njemačka
Taxol Austrija, Brazil, Danska, Egipat, Grčka, Iran, Italija, Japan, Kolumbija, Malezija, Maroko, Nizozemska, novi Zeland, Peru, Poljska, Portugal, Slovenija, Švedska, Švicarska, Turska, Ujedinjeni Arapski Emirati, Venecuela
Taxomedac Njemačka
Vitax Brazil, Peru, Turska
način davanja lijeka   način davanja lijeka :Paclitaxel     
Voie
intravenozna infuzija
trajna perfuzija

  Mentions Légales