Последнее обновление :
27/11/2025
Цитостатическое средство   Paclitaxel  
Инъекция
Стабильность растворов Стабильность смесей Факторы, которые влияют на стабильность Совместимость Способы введения Библиография pdf
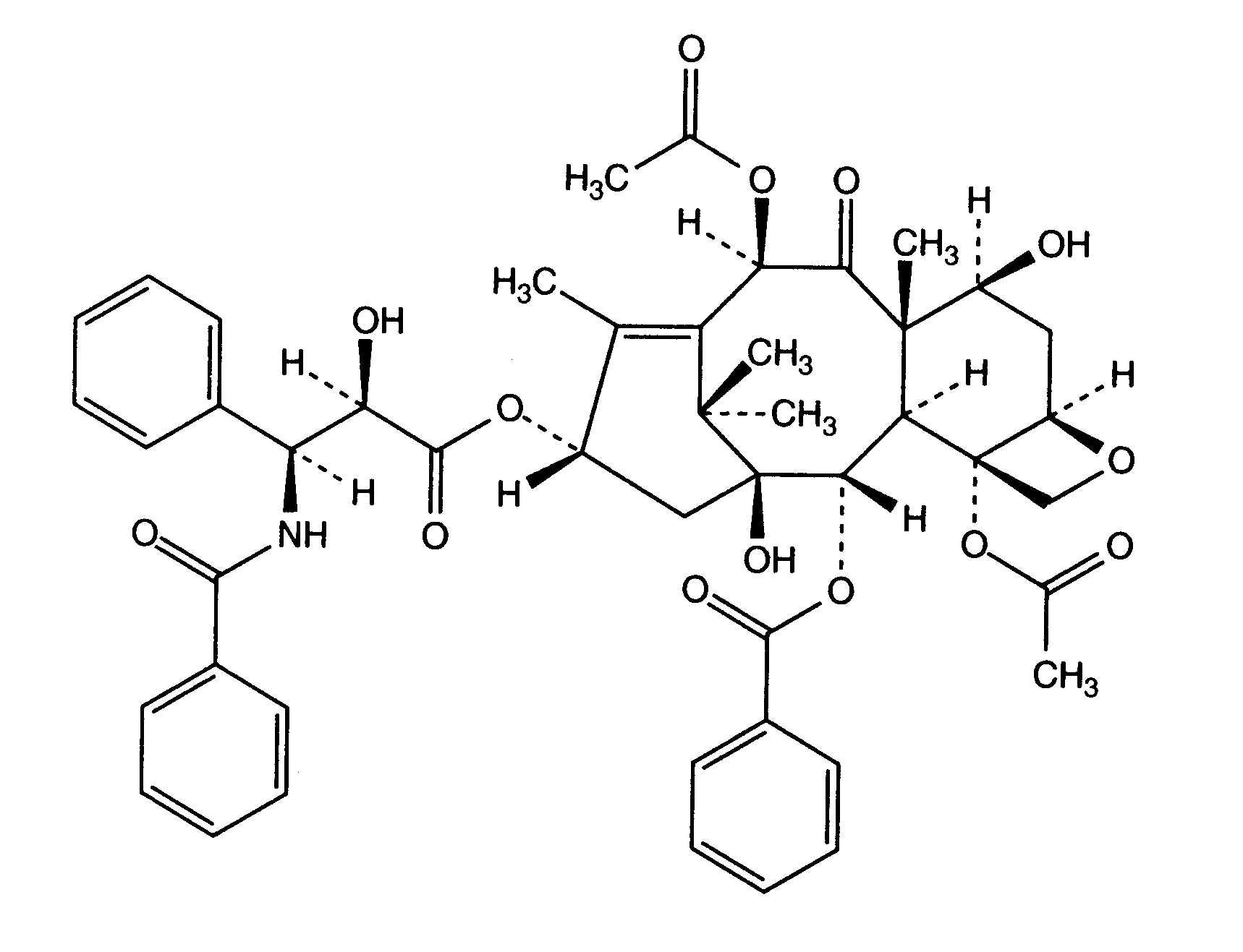
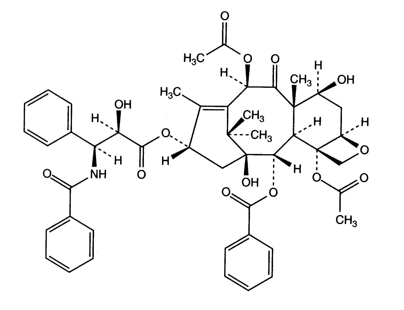
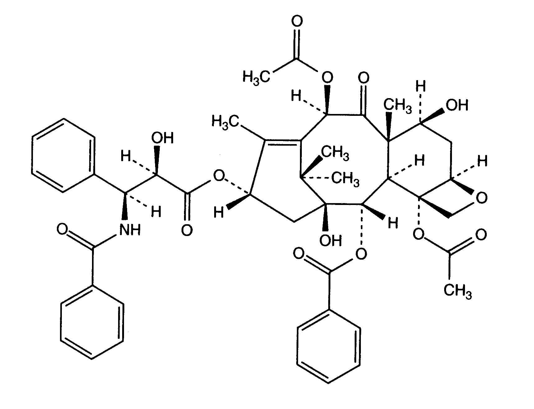
   Химическая структура  

Товарное название   Товарное название     

Trade names are indicative and excipients composition can be different depending on the country and manufacturers

Aclipak Малайзия
Acoexcel Мексика
Acupaxil Марокко
Anzatax Египет, Иран, Малайзия, Марокко, новая Зеландия, Объединенные Арабские Эмираты, Перу, Саудовская Аравия, Тунис, Турция
Aritaxel Германия
Cantaxel Индия
Clitaxel Аргентина, Венесуэла
Dalys Аргентина
Ebetaxel Австрия, Иран, Марокко, Саудовская Аравия, Тунис, Турция
Genexol Египет, Индия, Иран
Onxol Соединённые Штаты Америки
Paclinova Аргентина
Paclitaxin Бразилия, Люксембург, Малайзия, Словения
Parexel Бразилия, Венесуэла, Колумбия, Эквадор
Paxene Голландия, Греция, Дания, Ирландия, Испания, Польша
Poltaxel Польша
Ribotax Германия
Taxol Австрия, Бразилия, Венесуэла, Голландия, Греция, Дания, Египет, Иран, Италия, Колумбия, Малайзия, Марокко, новая Зеландия, Объединенные Арабские Эмираты, Перу, Польша, Португалия, Словения, Турция, Швейцария, Швеция, Япония
Taxomedac Германия
Vitax Бразилия, Перу, Турция
Способы введения   Способы введения :Paclitaxel     
Voie
Интравенная, внутривенная инфузия
Постоянная инфузия

  Mentions Légales