Posledná aktualizácia :
27/01/2026
Protinádorová liečba   Paclitaxel  
Injekcia
Stabilita roztokov Stabilita v zmesiach Faktory ovplyvňujúce stabilitu Kompatibility spôsob podania Odkazy na literatúru PDF
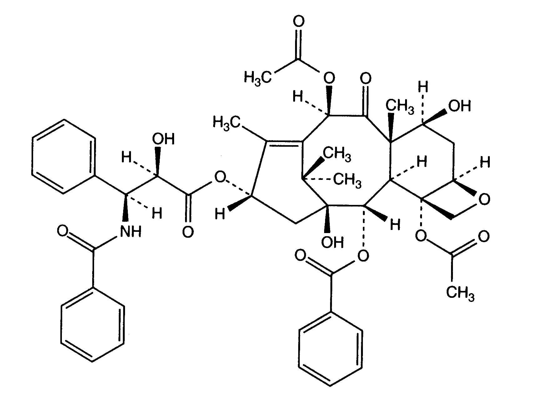
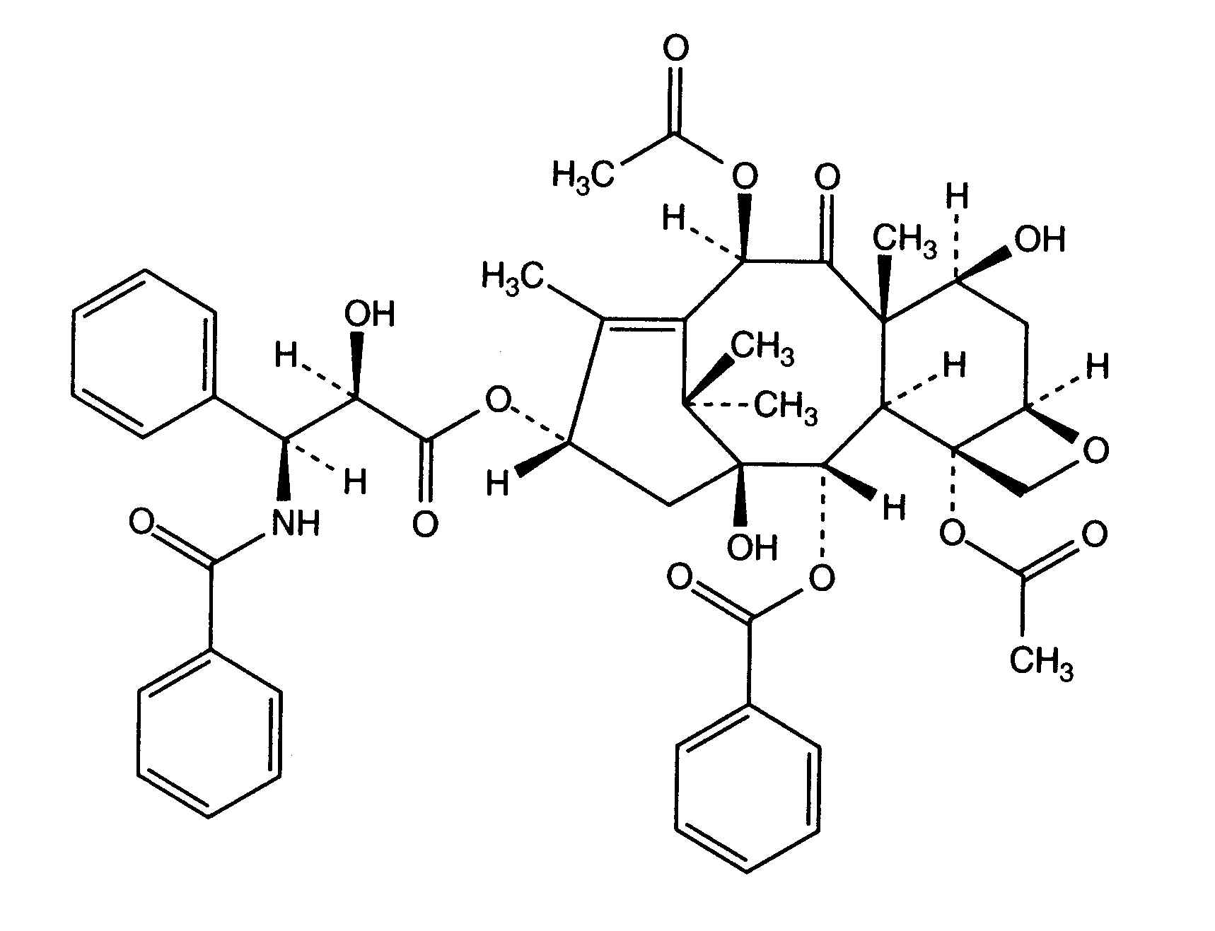
   Chemický vzorec  

Obchodný názov   Obchodný názov     

Obchodné názvy sú orientačné, a zloženie pomocných látok sa môže líšiť v závislosti od krajiny a výrobcu.

Aclipak Malajzia
Acoexcel Mexiko
Acupaxil Maroko
Anzatax Egypt, Irán, Malajzia, Maroko, nový Zéland, peru, Saudská Arábia, Spojené arabské emiráty, Tunisko, Turecko
Aritaxel Nemecko
Cantaxel India
Clitaxel Argentína, Venezuela
Dalys Argentína
Ebetaxel Irán, Maroko, Rakúsko, Saudská Arábia, Tunisko, Turecko
Genexol Egypt, India, Irán
Onxol Spojené štáty Americké
Paclinova Argentína
Paclitaxin Brazília, Luxembursko, Malajzia, Slovinsko
Parexel Brazília, Ekvádor, Kolumbia, Venezuela
Paxene Dánsko, Grécko, Holandsko, Írsko, Poľsko, Španielsko
Poltaxel Poľsko
Ribotax Nemecko
Taxol Brazília, Dánsko, Egypt, Grécko, Holandsko, Irán, Japonsko, Kolumbia, Malajzia, Maroko, nový Zéland, peru, Poľsko, Portugalsko, Rakúsko, Slovinsko, Spojené arabské emiráty, Švajčiarsko, Švédsko, Taliansko, Turecko, Venezuela
Taxomedac Nemecko
Vitax Brazília, peru, Turecko
spôsob podania   spôsob podania :Paclitaxel     
Voie
intravenózna infúzia
kontinuálna infúzia

  Mentions Légales