Senaste uppdateringen :
27/01/2026
cancerläkemedel   Paclitaxel  
injektion
Lösningars stabilitet Stabilitet i blandningar Faktorer som påverkar stabiliteten Kompatibilitet Administreringssätt Hänvisningar pdf
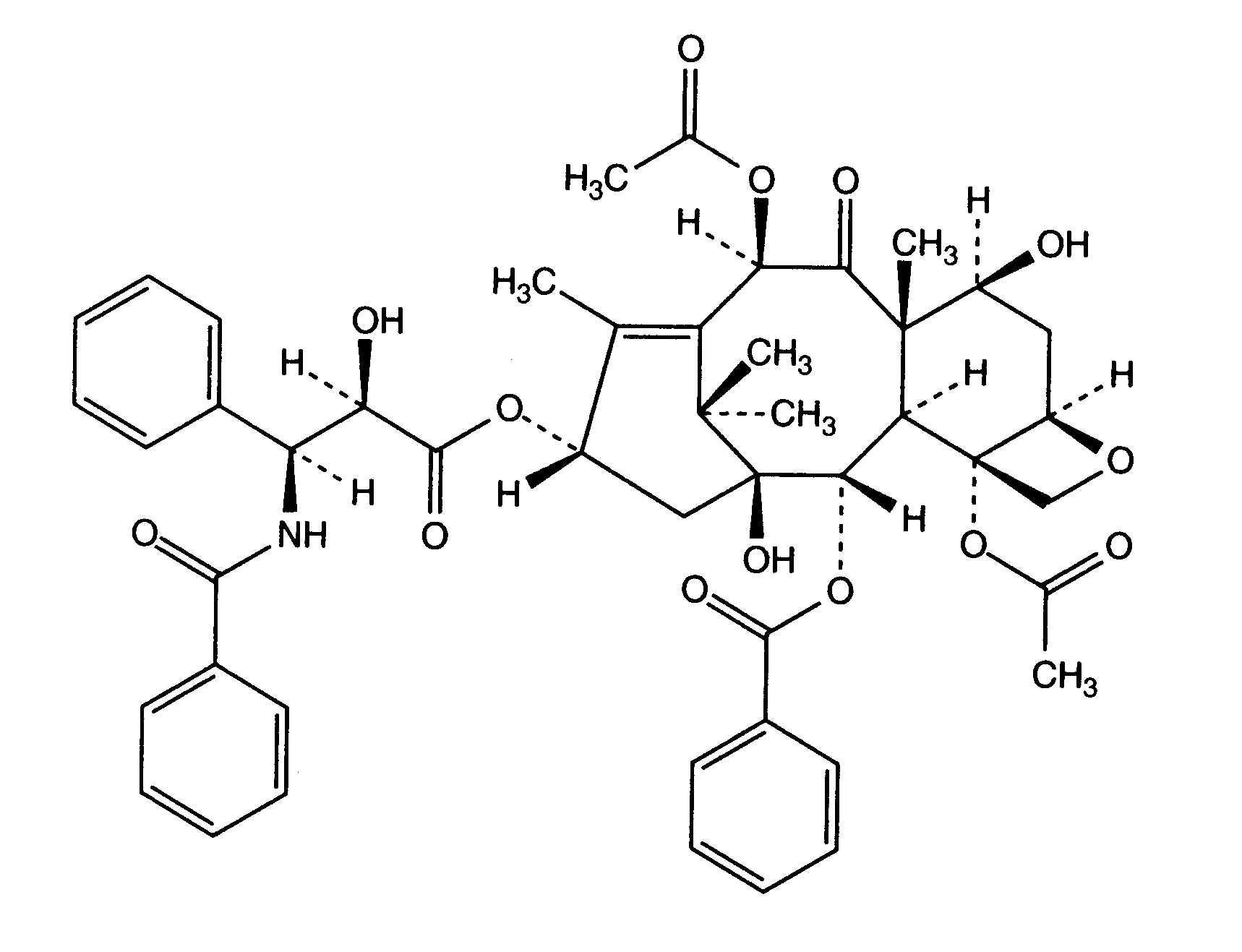
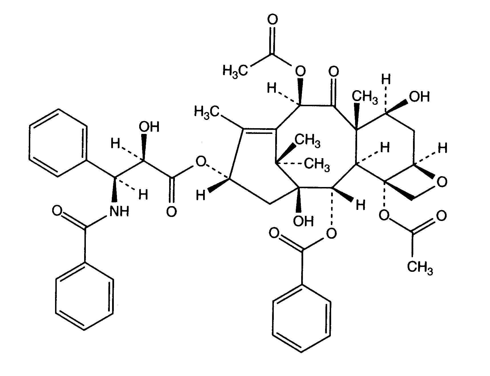
   Molekylstruktur  

Varunamn   Varunamn     

Angivna handelsnamn på läkemedel är enbart vägledande då formulering inklusive hjälpämnen kan variera mellan länder och tillverkare

Aclipak Malaysia
Acoexcel Mexiko
Acupaxil Marocko
Anzatax Egypten, Förenade Arabemiraten, Iran, Malaysia, Marocko, nya Zeeland, Peru, Saudi-Arabien, Tunisien, Turkiet
Aritaxel Tyskland
Cantaxel Indien
Clitaxel Argentina, Venezuela
Dalys Argentina
Ebetaxel Iran, Marocko, Österrike, Saudi-Arabien, Tunisien, Turkiet
Genexol Egypten, Indien, Iran
Onxol Förenta Staterna
Paclinova Argentina
Paclitaxin Brasilien, Luxemburg, Malaysia, Slovenien
Parexel Brasilien, Colombia, Ecuador, Venezuela
Paxene Danmark, Grekland, Irland, Nederländerna, Polen, Spanien
Poltaxel Polen
Ribotax Tyskland
Taxol Brasilien, Colombia, Danmark, Egypten, Förenade Arabemiraten, Grekland, Iran, Italien, Japan, Malaysia, Marocko, Nederländerna, nya Zeeland, Österrike, Peru, Polen, Portugal, Schweiz, Slovenien, Sverige, Turkiet, Venezuela
Taxomedac Tyskland
Vitax Brasilien, Peru, Turkiet
Administreringssätt   Administreringssätt :Paclitaxel     
Voie
Intravenös infusion
Långtidsinfusion

  Mentions Légales