Siste oppdatering :
27/01/2026
kreft narkotika   Paclitaxel  
Injeksjon
Oppløsningsstabilitet Stabilitet i blandinger Faktorer som påvirker stabiliteten Kompatibilitet Administrasjonsmåte Referanser pdf
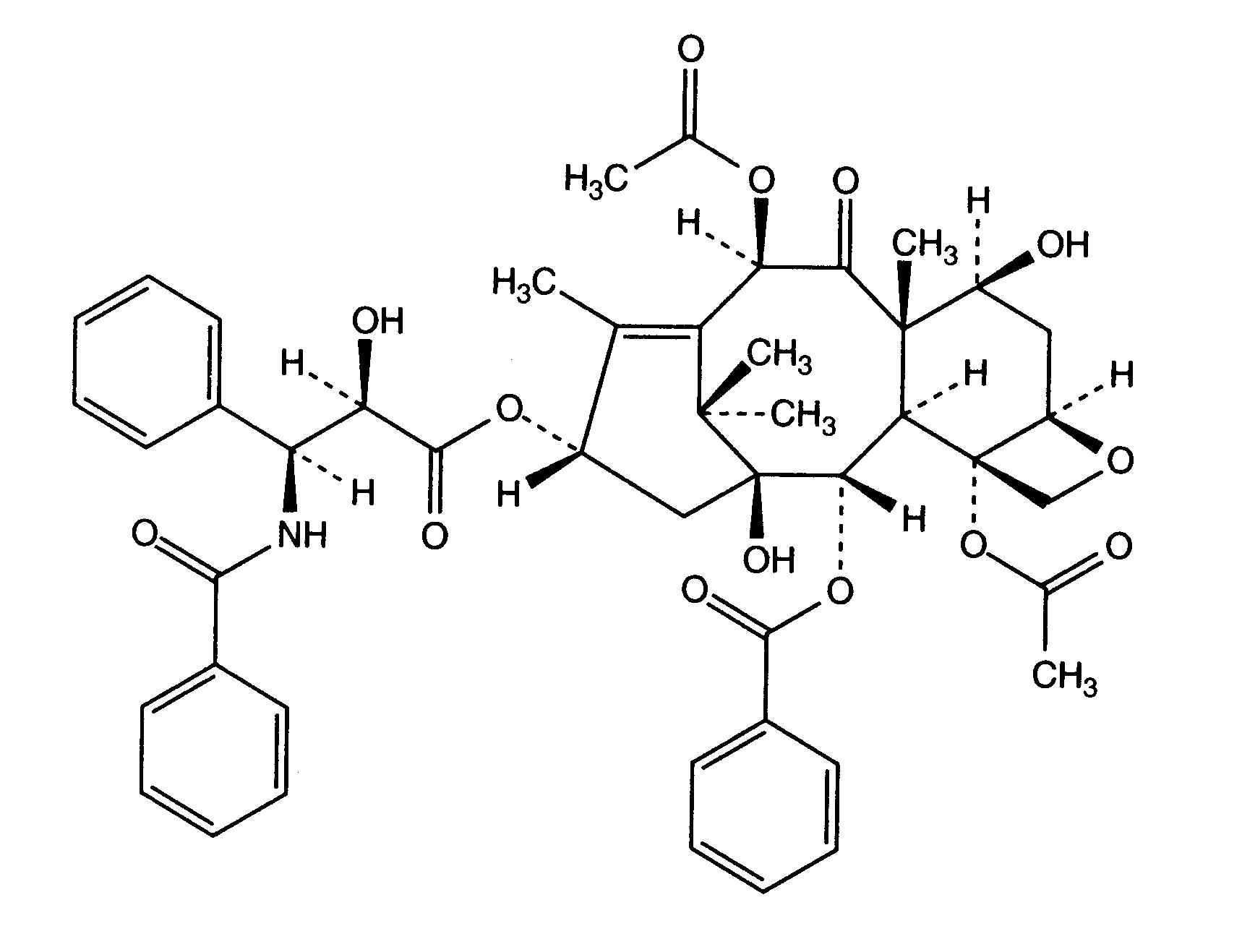
   Kjemisk struktur  

Handelsnavn   Handelsnavn     

Handelsnavn er veiledende og sammensetning av hjelpestoffer kan være forskjellig avhengig av land og produsent

Aclipak Malaysia
Acoexcel Mexico
Acupaxil Marokko
Anzatax De forente arabiske emirater, Egypt, Iran, Malaysia, Marokko, New Zealand, Peru, Saudi-Arabia, Tunisia, Tyrkia
Aritaxel Tyskland
Cantaxel India
Clitaxel Argentina, Venezuela
Dalys Argentina
Ebetaxel Iran, Marokko, Saudi-Arabia, Tunisia, Tyrkia, Østerrike
Genexol Egypt, India, Iran
Onxol USA
Paclinova Argentina
Paclitaxin Brasil, Luxembourg, Malaysia, Slovenia
Parexel Brasil, Colombia, Ecuador, Venezuela
Paxene Danmark, Hellas, Irland, Nederland, Polen, Spania
Poltaxel Polen
Ribotax Tyskland
Taxol Brasil, Colombia, Danmark, De forente arabiske emirater, Egypt, Hellas, Iran, Italia, Japan, Malaysia, Marokko, Nederland, New Zealand, Peru, Polen, Portugal, Slovenia, Sveits, Sverige, Tyrkia, Venezuela, Østerrike
Taxomedac Tyskland
Vitax Brasil, Peru, Tyrkia
Administrasjonsmåte   Administrasjonsmåte :Paclitaxel     
Voie
Intravenøs infusjon
Kontinuerlig infusjon

  Mentions Légales