viimane versioon :
27/01/2026
vähiravimite   Paclitaxel  
Süsteravim
Stabiilsus lahustes Stabiilsust mõjutavad tegurid stabiilsust mõjutavad faktorid Sobimatus Manustamis viis Viited pdf
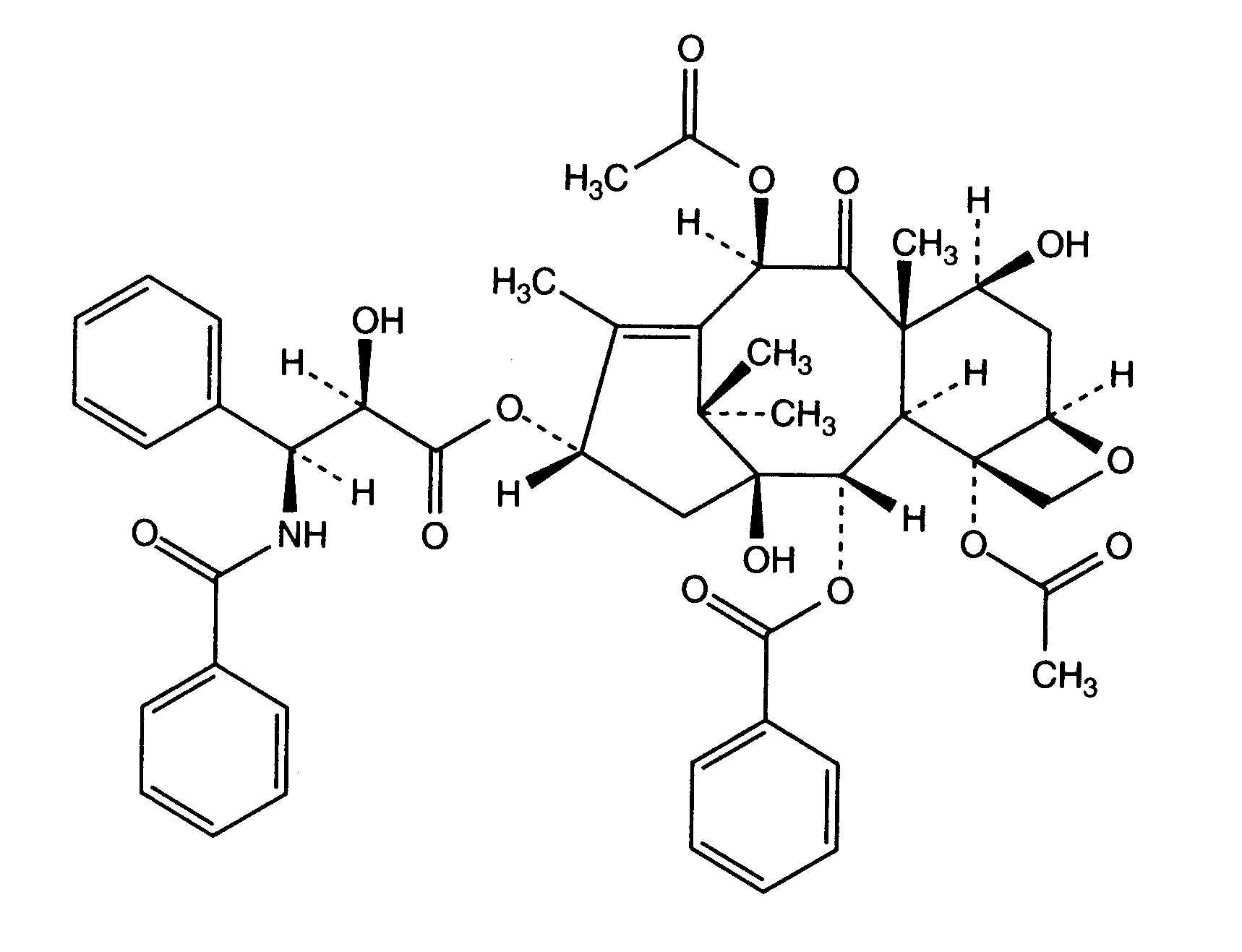
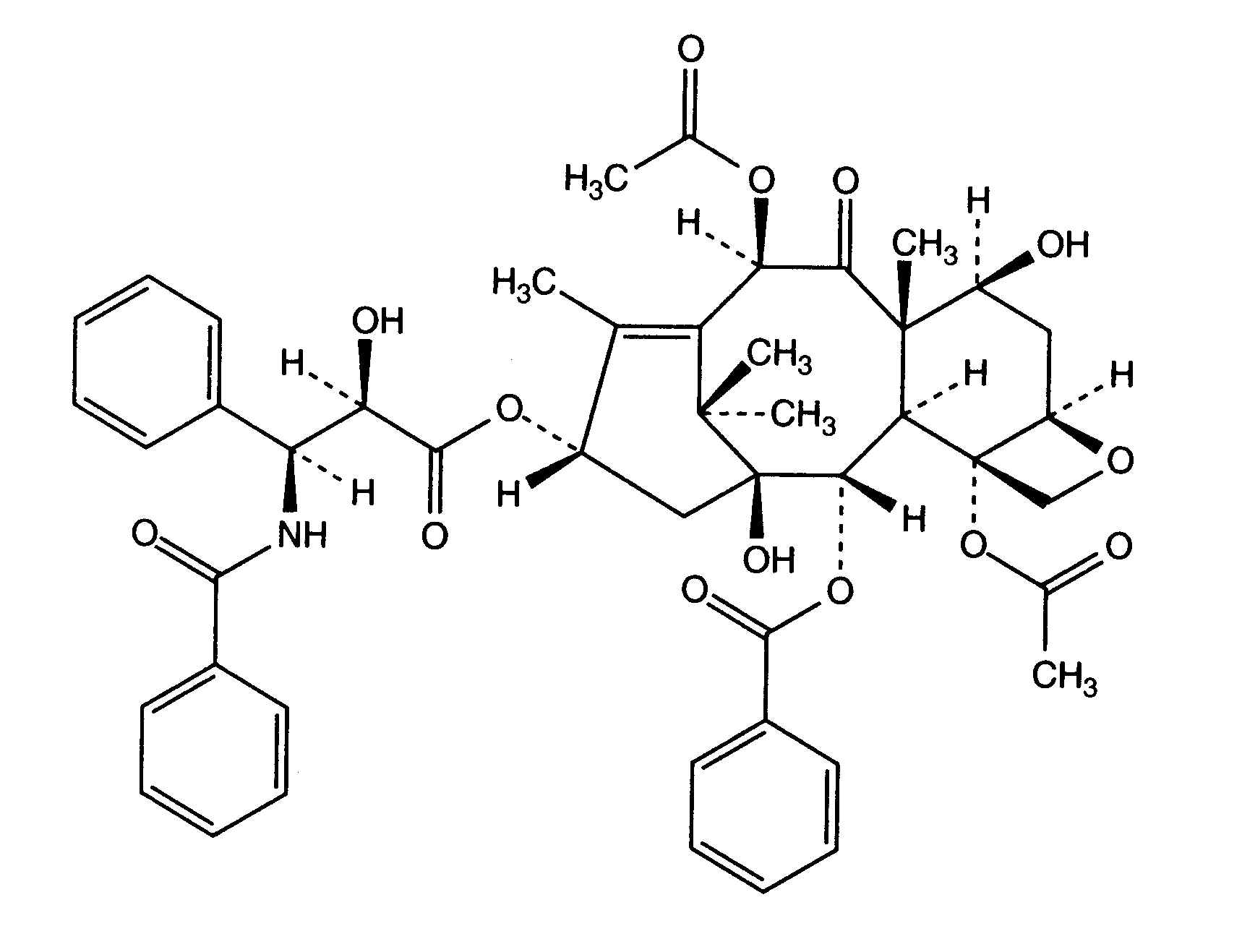
   keemiline struktuur  

Kaubanduslikud nimed erinevates maades   Kaubanduslikud nimed erinevates maades     

Preparaatide nimed on näitlikud ja abianete sisaldus võib erineda sõltuvalt riigist ja laborist

Aclipak Malaisia
Acoexcel Mehhiko
Acupaxil Maroko
Anzatax Araabia Ühendemiraadid, Egiptus, Iraan, Malaisia, Maroko, Maroko, Saudi Araabia, Tuneesia, Türgi, uus-Meremaa
Aritaxel Saksamaa
Cantaxel India
Clitaxel Argentiina, Venetsueela
Dalys Argentiina
Ebetaxel Austria, Iraan, Maroko, Saudi Araabia, Tuneesia, Türgi
Genexol Egiptus, India, Iraan
Onxol Ameerika ühendriigid
Paclinova Argentiina
Paclitaxin Brasiilia, Luksemburg, Malaisia, Sloveenia
Parexel Brasiilia, Ecuador, Kolumbia, Venetsueela
Paxene Hispaania, Holland, Iirimaa, Kreeka, Poola, Taani
Poltaxel Poola
Ribotax Saksamaa
Taxol Araabia Ühendemiraadid, Austria, Brasiilia, Egiptus, Holland, Iraan, Itaalia, Jaapan, Kolumbia, Kreeka, Malaisia, Maroko, Maroko, Poola, Portugal, Rootsi, Sloveenia, Sveits, Taani, Türgi, uus-Meremaa, Venetsueela
Taxomedac Saksamaa
Vitax Brasiilia, Maroko, Türgi
Manustamis viis   Manustamis viis :Paclitaxel     
Voie
intravenoosne infusioon
pidevinfusioon

  Mentions Légales