Poslední aktualizace :
27/01/2026
vėžio narkotikų   Paclitaxel  
Įpurškimas
Tirpalų stabilumas Mišinių stabilumas Stabilumą lemiantys veiksniai Suderinamumas Leidimo būdai Bibliografija pdf
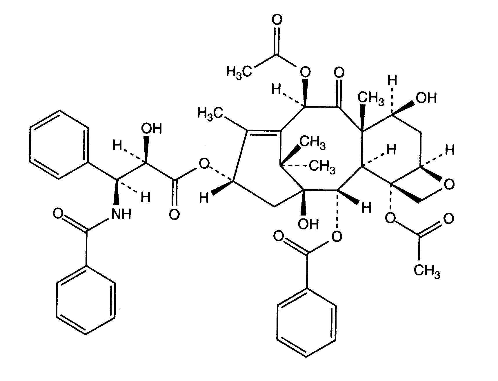
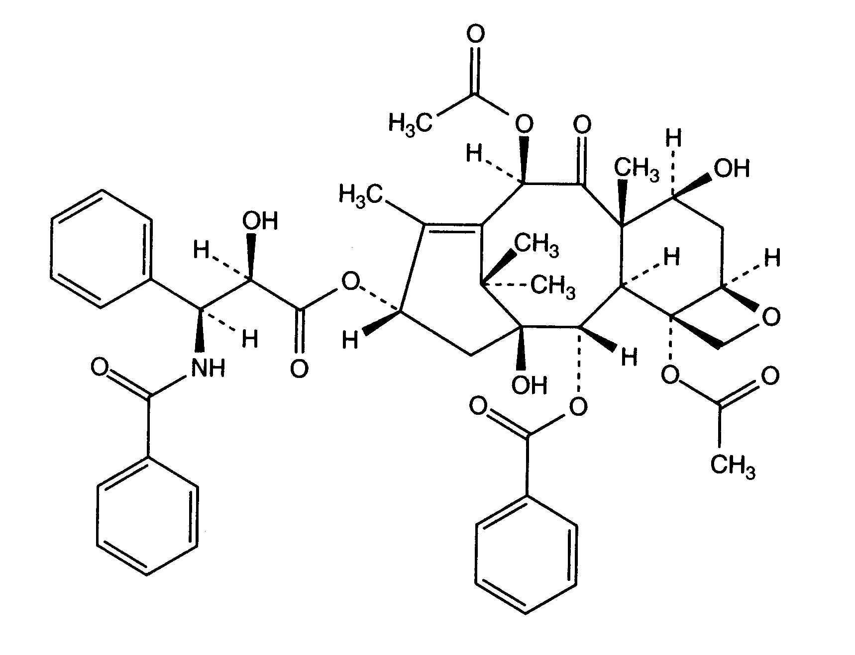
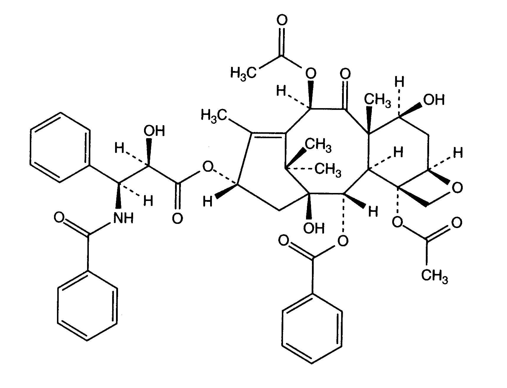
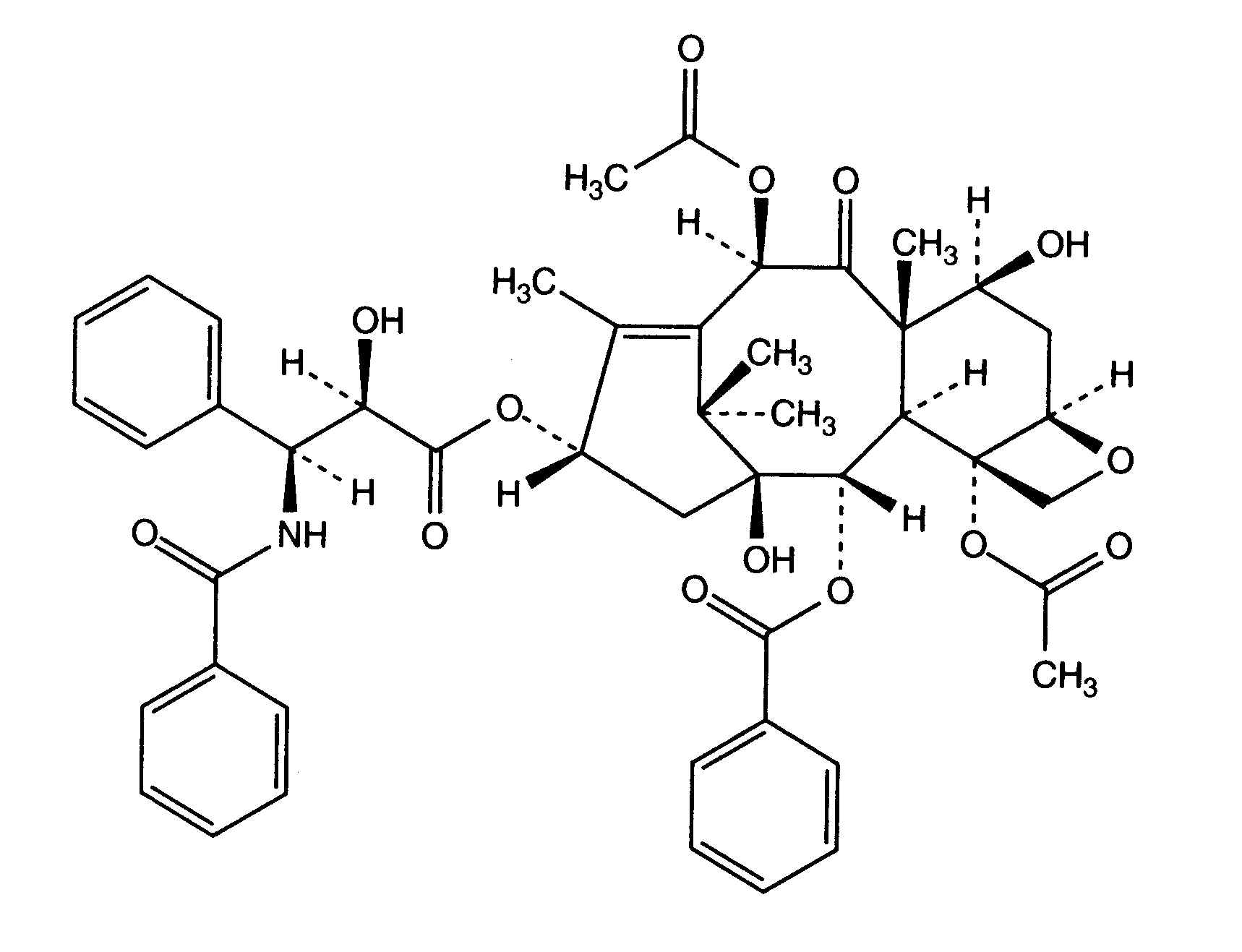
   Cheminė sandara  

Prekinis pavadinimas   Prekinis pavadinimas     

Trade names are indicative and excipients composition can be different depending on the country and manufacturers

Aclipak Malaizija
Acoexcel Meksikas
Acupaxil Marokas
Anzatax Egiptas, Iranas, Jungtiniai Arabų Emyratai, Malaizija, Marokas, Naujojoje Zelandijoje, Peru, Saudo Arabija, Tunisas, Turkija
Aritaxel Vokietija
Cantaxel Indija
Clitaxel Argentina, Venesuela
Dalys Argentina
Ebetaxel Austrija, Iranas, Marokas, Saudo Arabija, Tunisas, Turkija
Genexol Egiptas, Indija, Iranas
Onxol Jungtinės Amerikos Valstijos
Paclinova Argentina
Paclitaxin Brazilija, Liuksemburgas, Malaizija, Slovėnija
Parexel Brazilija, Ekvadoras, Kolumbija, Venesuela
Paxene Airija, Danija, Graikija, Ispanija, Lenkija, Olandija
Poltaxel Lenkija
Ribotax Vokietija
Taxol Austrija, Brazilija, Danija, Egiptas, Graikija, Iranas, Italija, Japonija, Jungtiniai Arabų Emyratai, Kolumbija, Lenkija, Malaizija, Marokas, Naujojoje Zelandijoje, Olandija, Peru, Portugalija, Slovėnija, Švedija, Šveicarija, Turkija, Venesuela
Taxomedac Vokietija
Vitax Brazilija, Peru, Turkija
Leidimo būdai   Leidimo būdai :Paclitaxel     
Voie
Intraveninė infuzija
Pastovi infuzija

  Mentions Légales