Cập nhật lần cuối :
27/04/2026
Kháng sinh   Netilmicin sulfate   
Khí dung
Dạng tiêm
Tính ổn định của các chế phẩm Độ ổn định khi trộn lẫn Những yếu tố ảnh hưởng đến độ ổn định Khả năng tương thích Tài liệu tham khảo Pdf
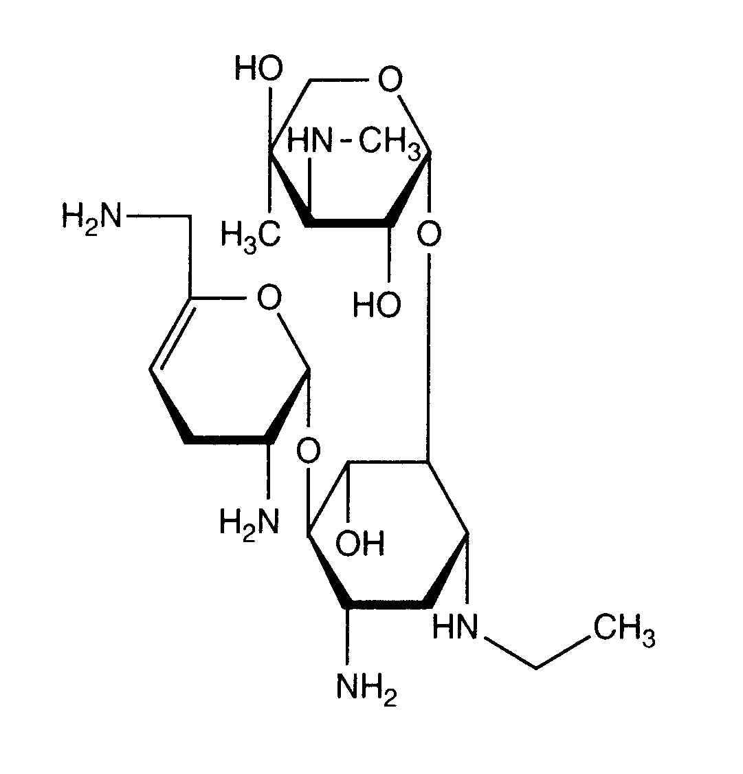
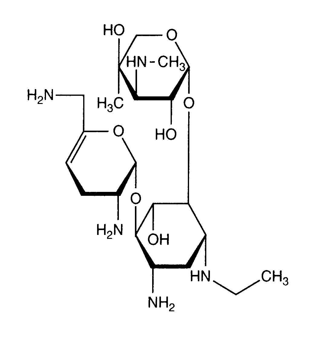
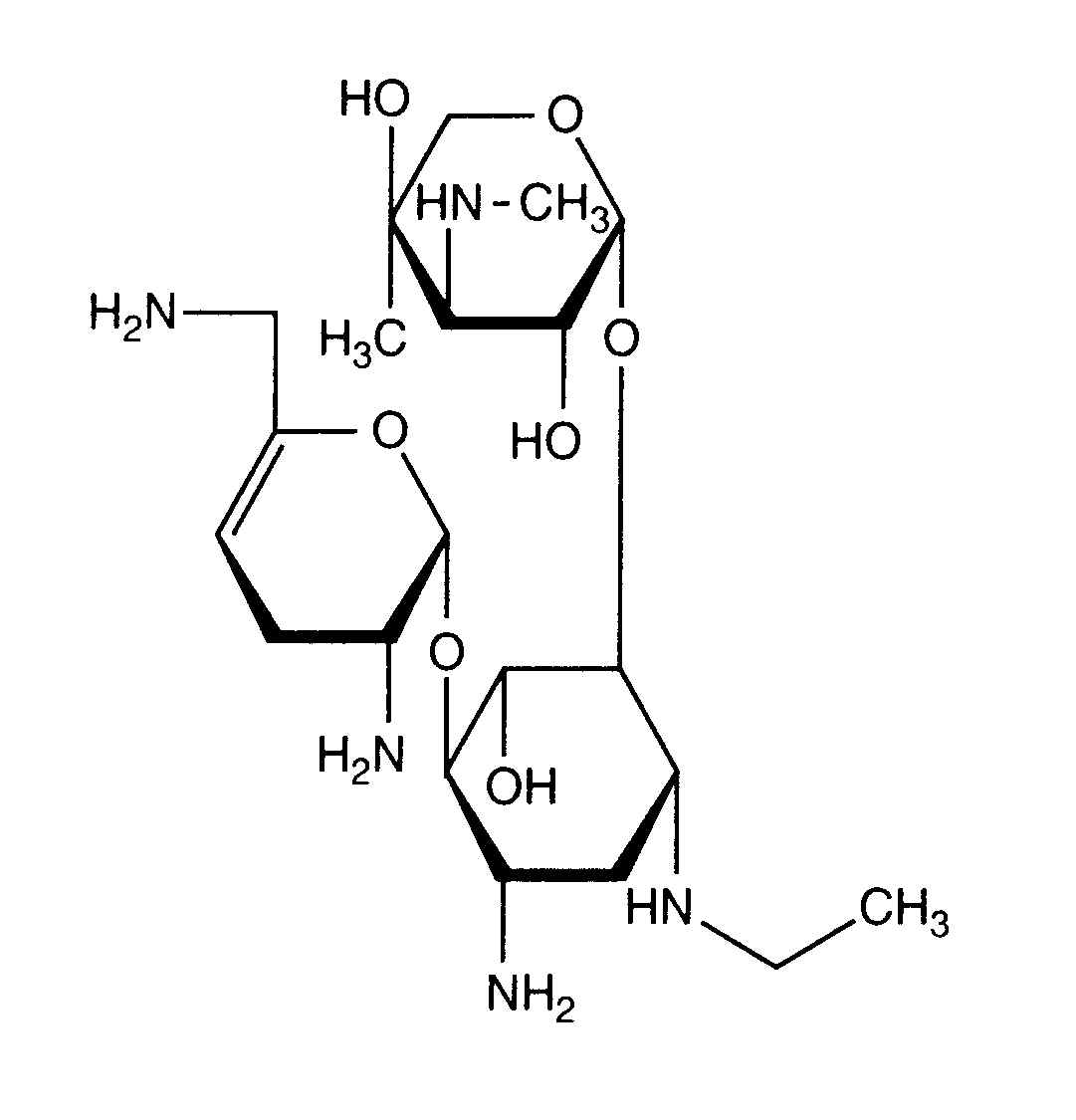
   Cấu trúc hóa học  

Khí dung
Tính ổn định của các chế phẩm   Khí dung   Tính ổn định của các chế phẩm : Netilmicin sulfate      
Không có dữ liệu

  Mentions Légales