Ostatnia aktualizacja :
27/04/2026
Infostab
Listy
Listy
Szukaj zgodności
Tabela kompatybilności Y-site
Bibliografia
Zespoły badawcze
valistab
plakat
Połączenia
sponsorzy
Autor
Przewodnik użytkoywnika
Biuletynu
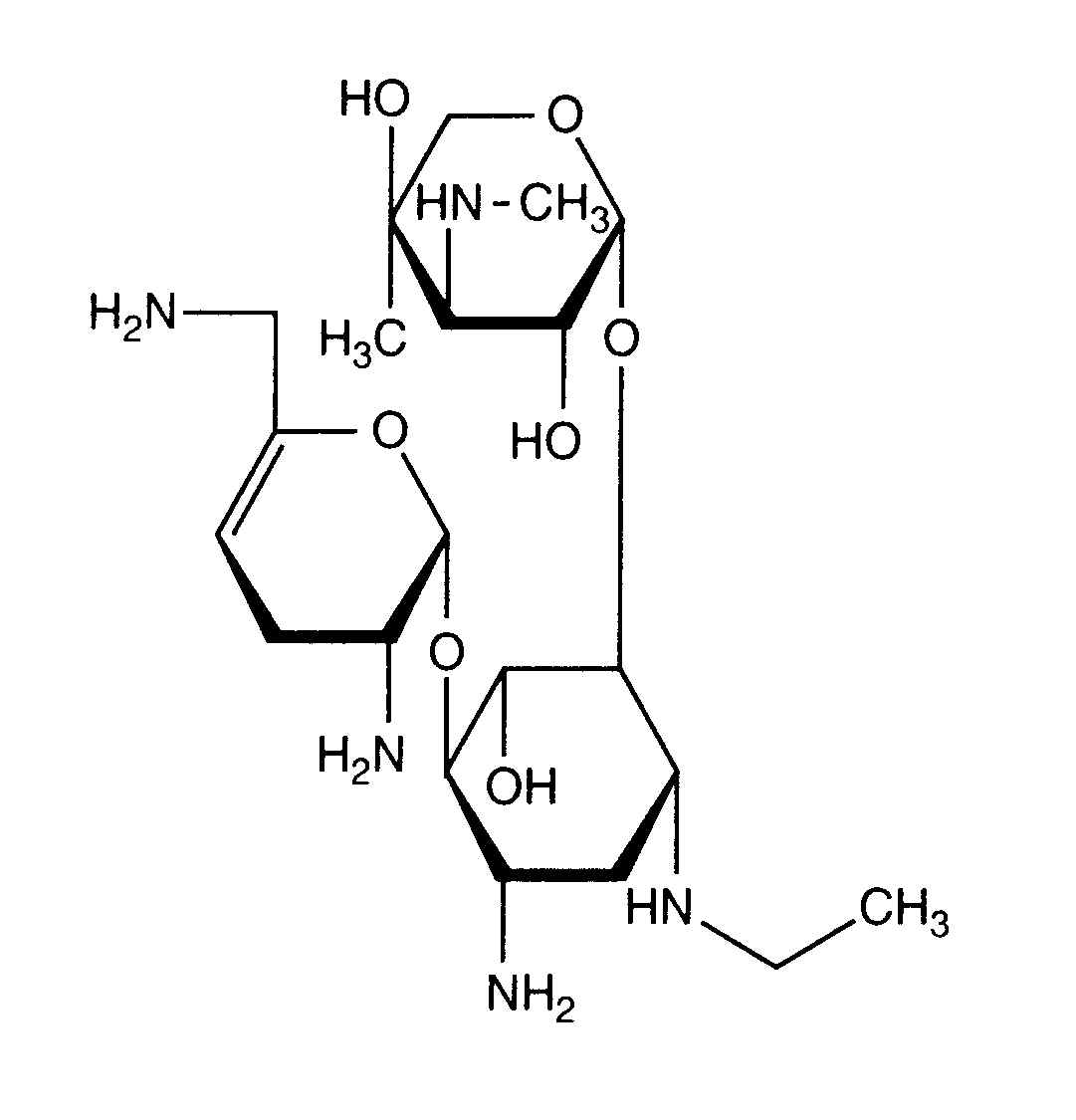
Netilmicin sulfate
Struktura chemiczna
Stabilność preparatów farmaceutycznych : Netilmicin sulfate
Brak danych
Mentions Légales