Останнє оновлення :
18/03/2026
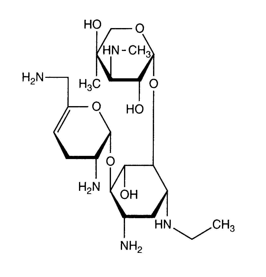
Антибіотик   Netilmicin sulfate   
аерозоль
ін'єкція
Стабільність фармацевтичних препаратів Стійкість сумішей Фактори, що впливають на стабільність Сумісність Список літератури pdf
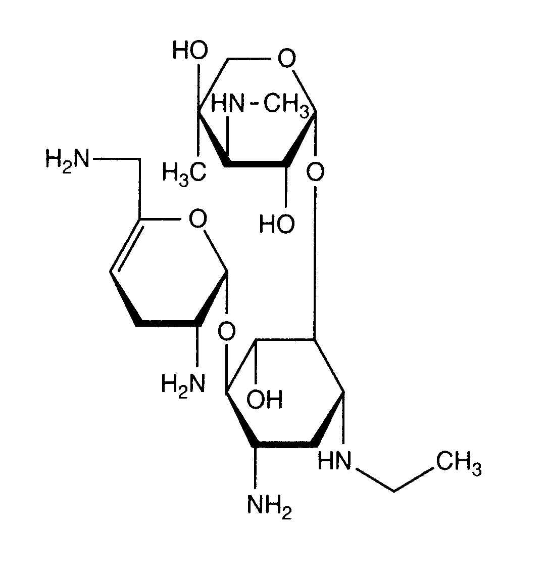
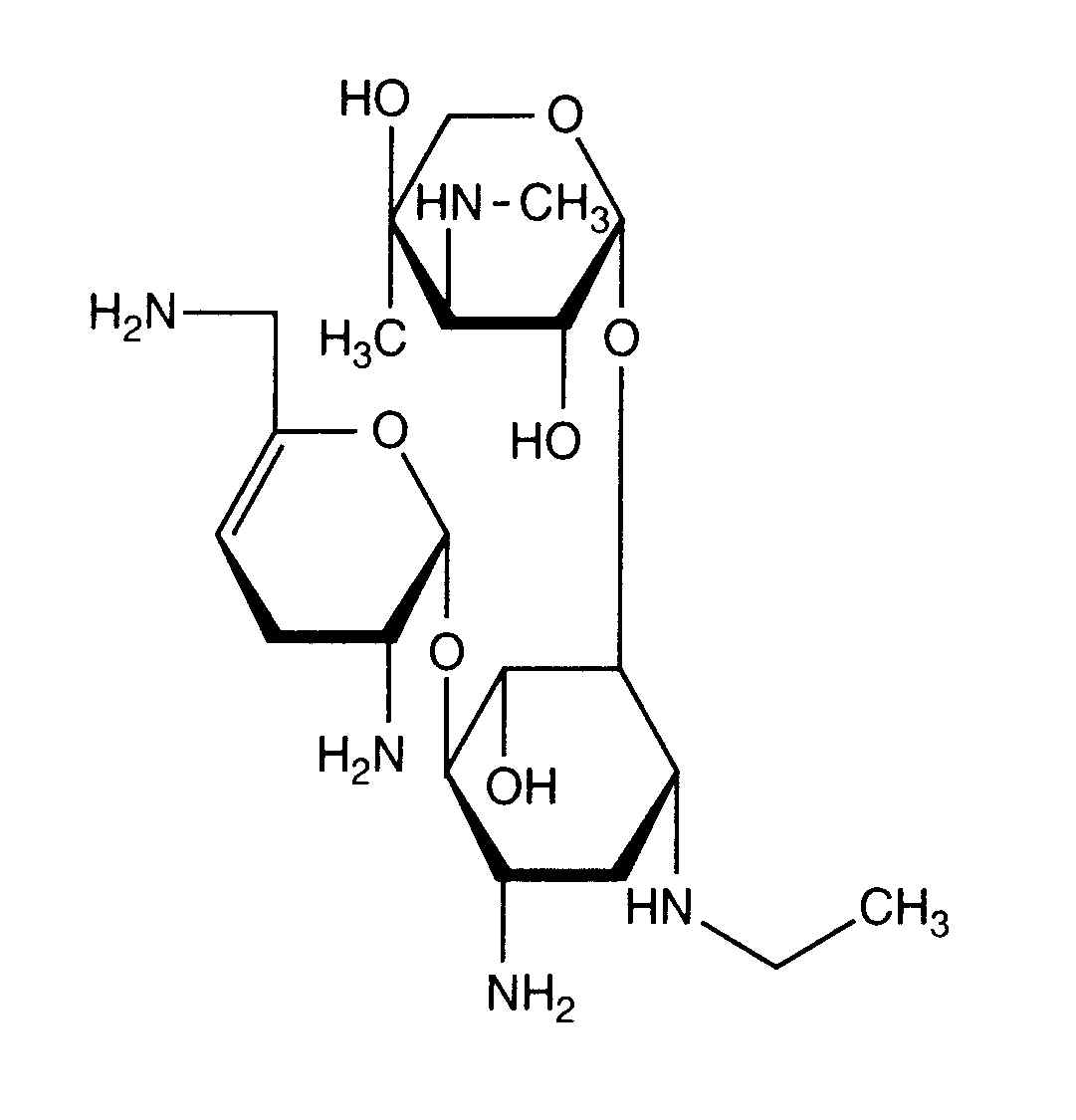
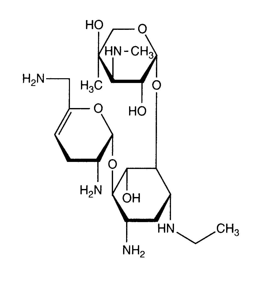
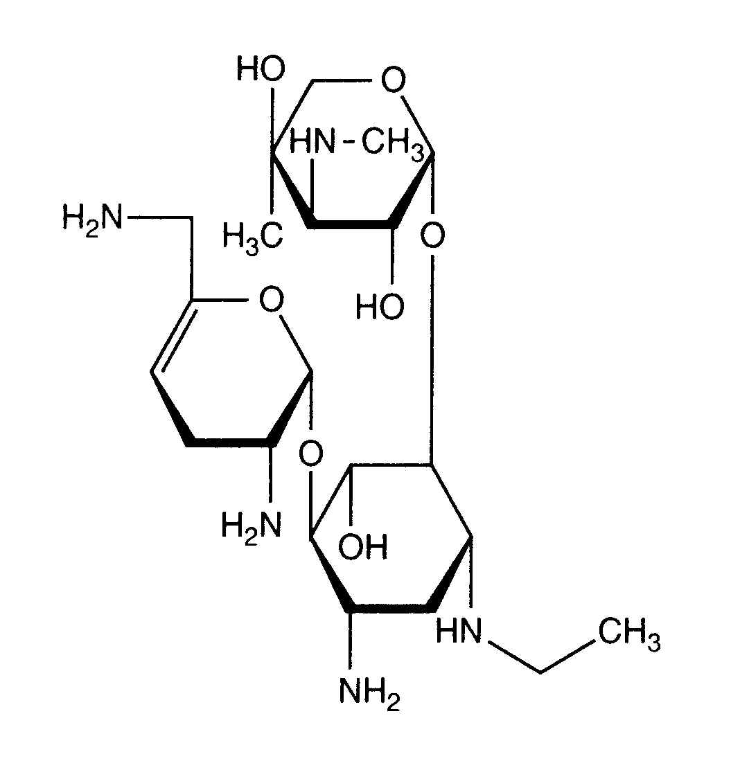
   Хімічна структура  

аерозоль
Стабільність фармацевтичних препаратів   аерозоль   Стабільність фармацевтичних препаратів : Netilmicin sulfate      
7 / 5 000 Résultats de traduction Немає даних

  Mentions Légales