最新更新 :
27/04/2026
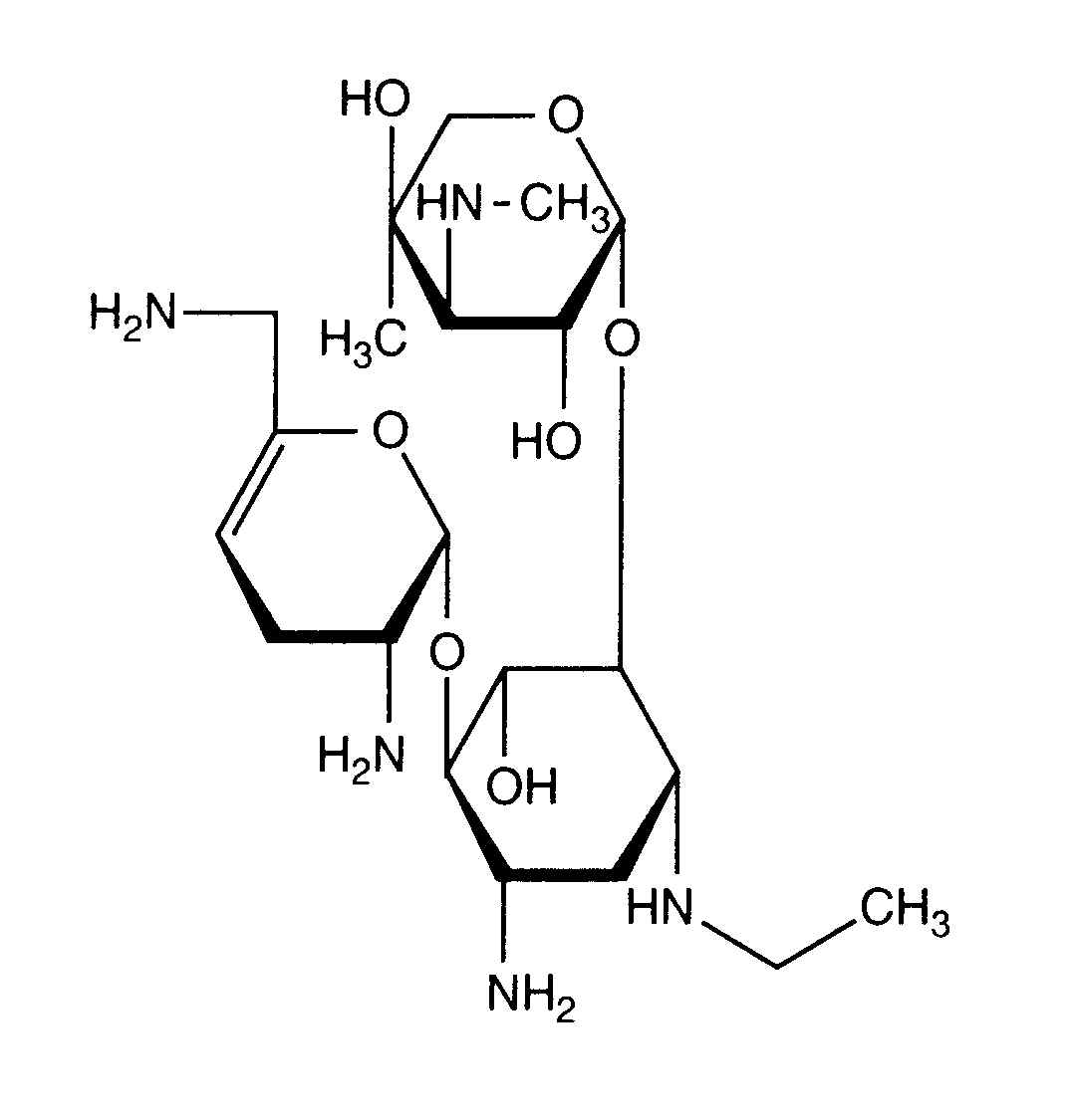
抗菌薬   Netilmicin sulfate   
エアロゾル
注射薬
調剤時の安定性 混合時の安定性 安定性に影響する因子 互換性 引用文献 PDF
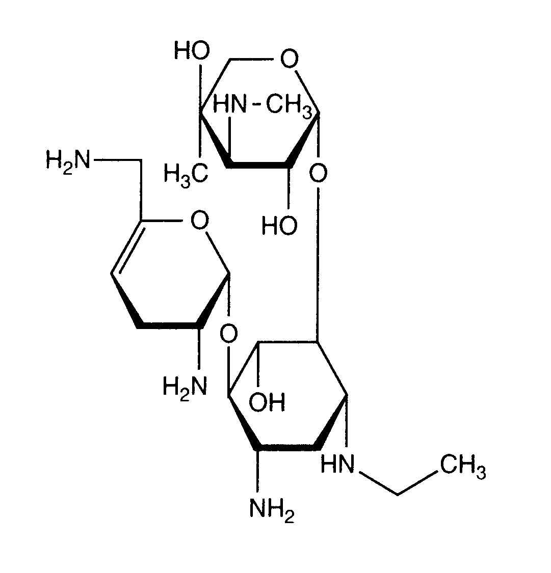
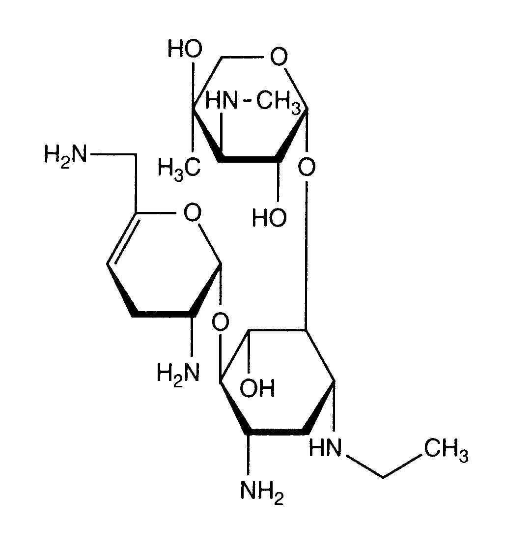
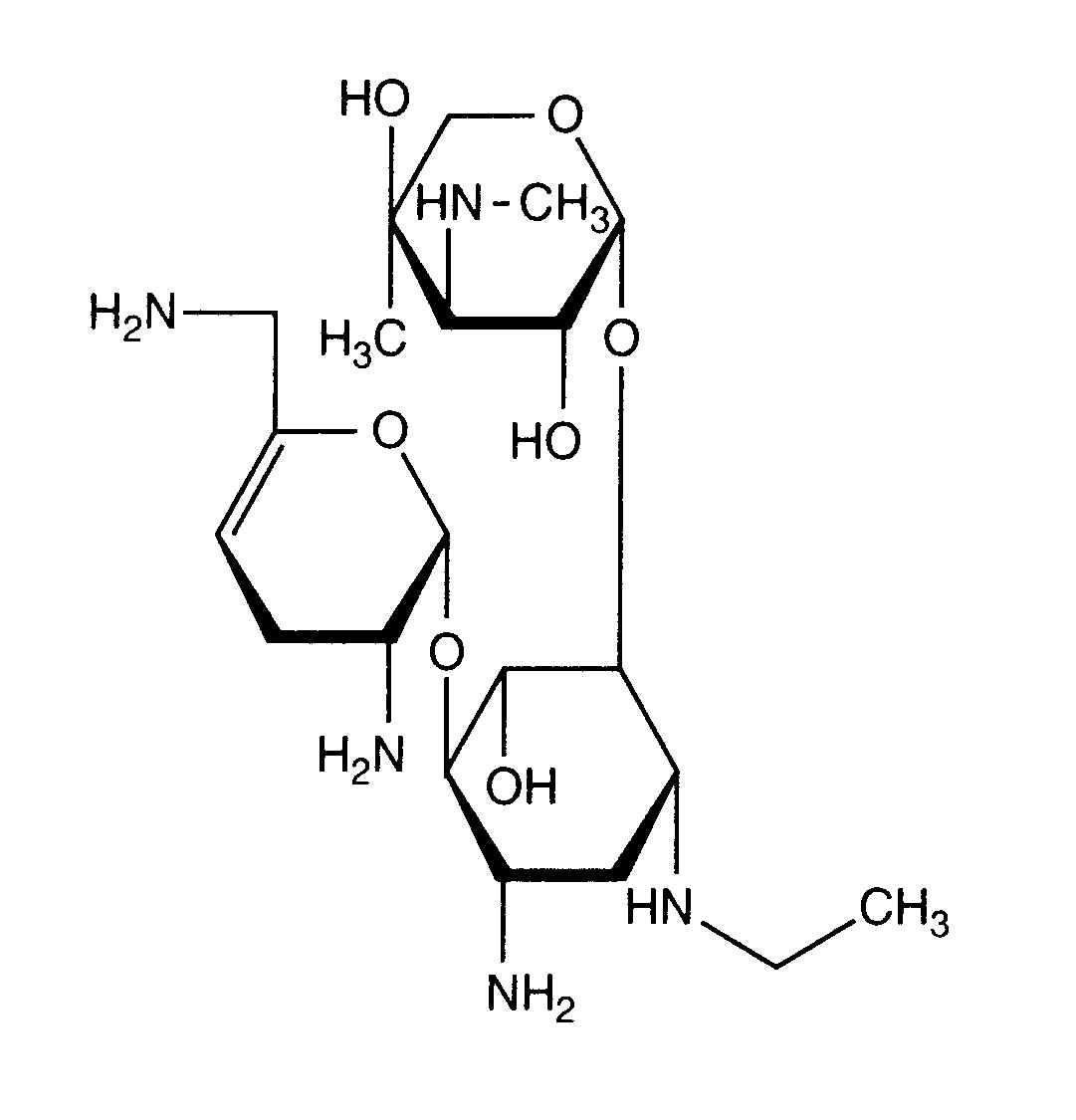
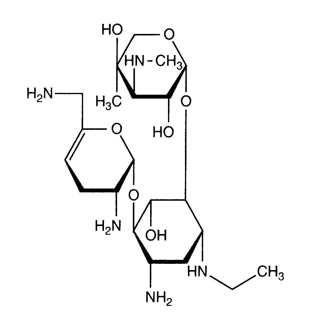
   化学構造  

エアロゾル
調剤時の安定性   エアロゾル   調剤時の安定性 : Netilmicin sulfate      
データなし

  Mentions Légales