Posledná aktualizácia :
18/03/2026
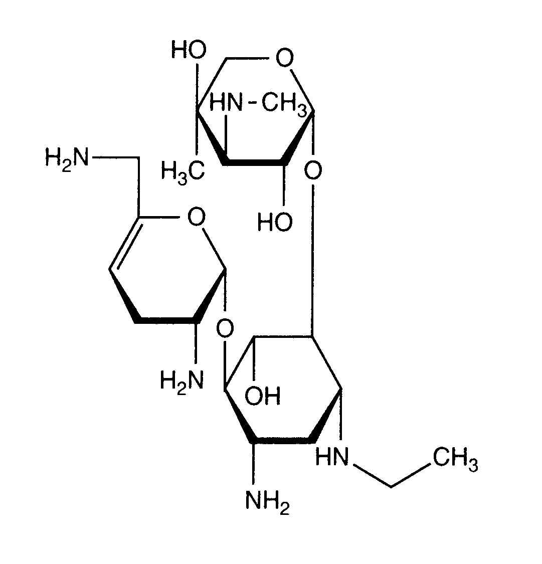
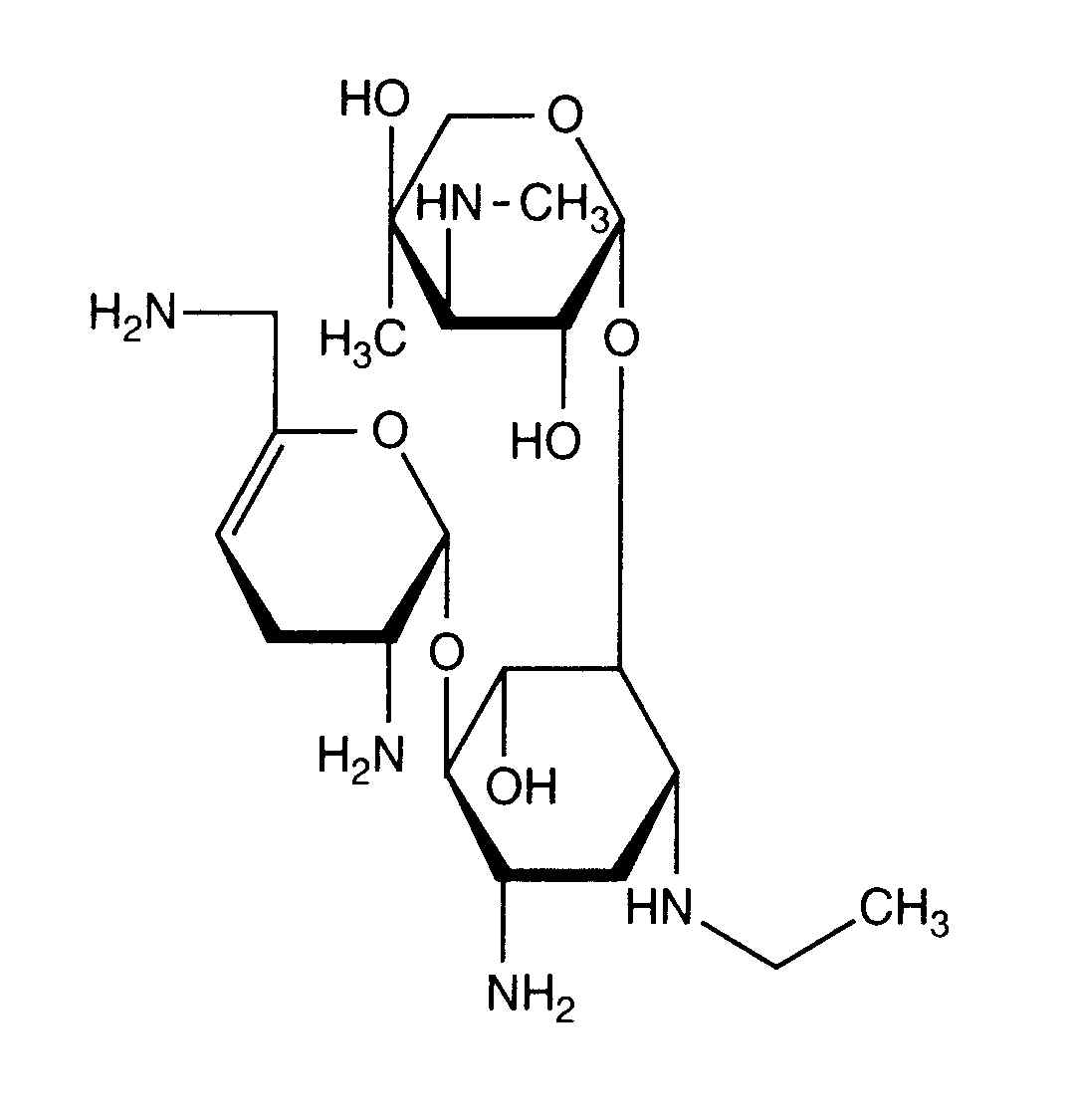
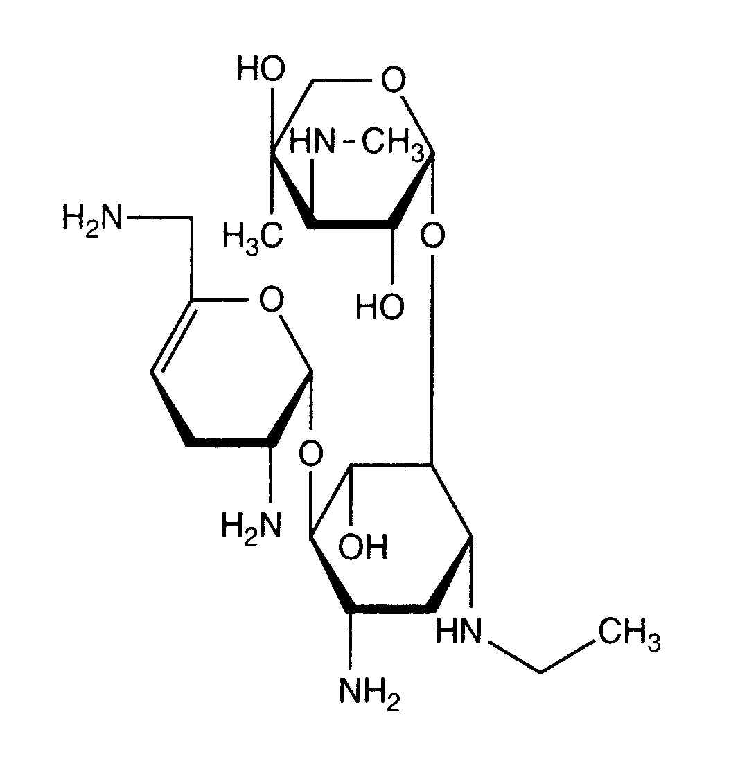
antibiotikum   Netilmicin sulfate   
Aerosól
Injekcia
Stabilita farmaceutických prípravkov Stabilita v zmesiach Faktory ovplyvňujúce stabilitu Kompatibility Odkazy na literatúru PDF
   Chemický vzorec  

Aerosól
Stabilita farmaceutických prípravkov   Aerosól   Stabilita farmaceutických prípravkov : Netilmicin sulfate      
žiadne údaje

  Mentions Légales