آخر تحديث :
18/03/2026
مضاد حيوي   Netilmicin sulfate   
الأيروصولات
حقن
استقرار المستحضرات الصيدلانية استقرار مخاليط العوامل التي تؤثر على الاستقرار التوافق مراجع pdf
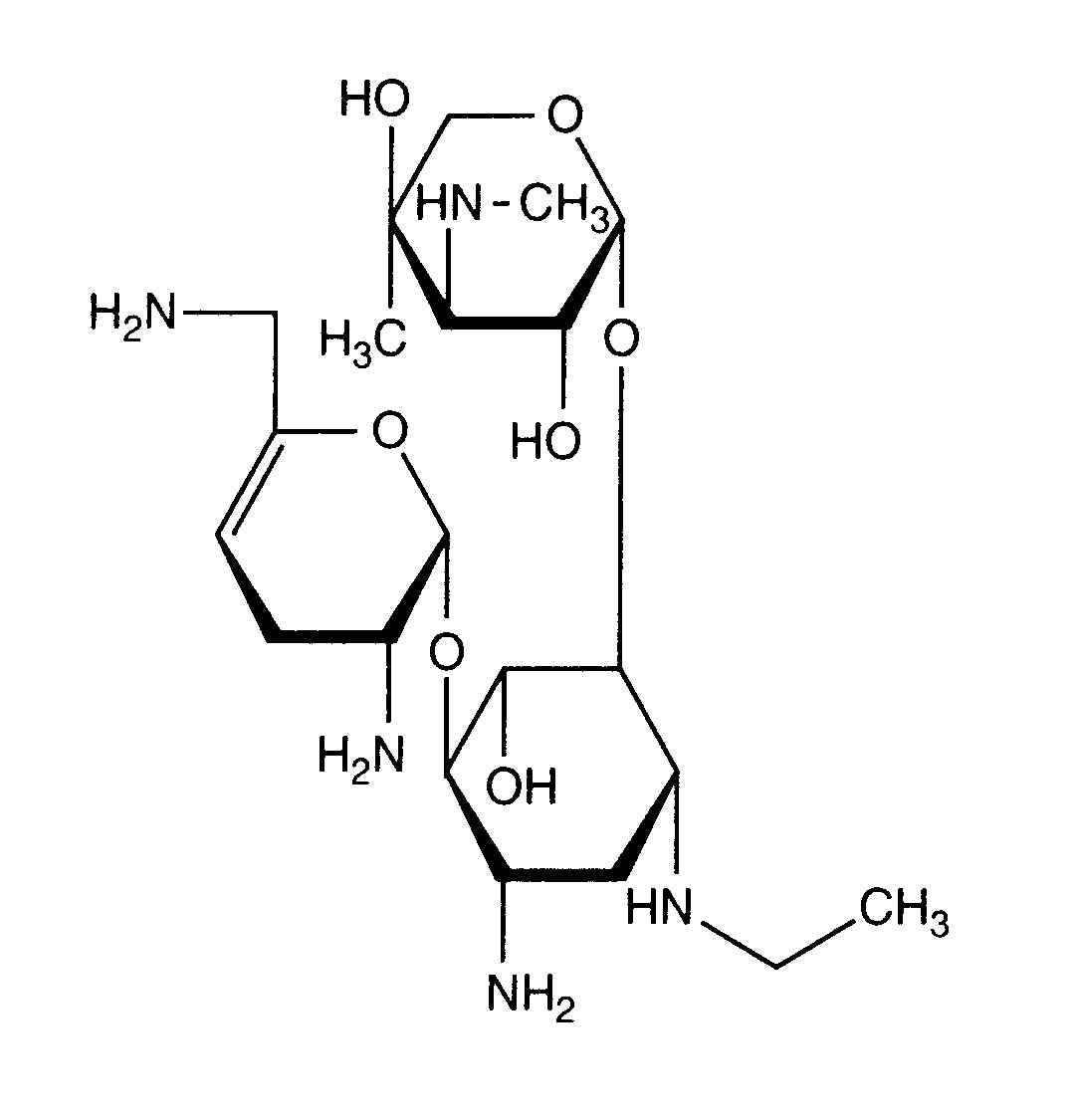
   التركيب الكيميائي  

الأيروصولات
استقرار المستحضرات الصيدلانية   الأيروصولات   استقرار المستحضرات الصيدلانية : Netilmicin sulfate      
لا توجد بيانات

  Mentions Légales