Последнее обновление :
27/04/2026
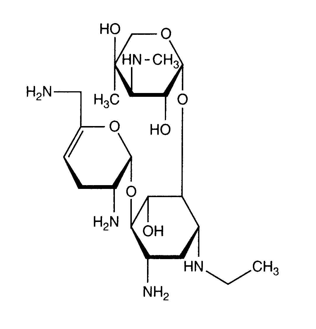
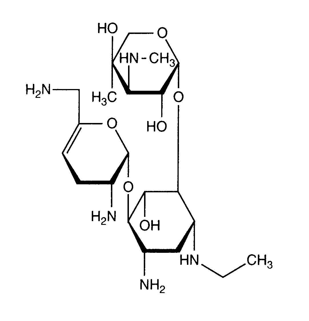
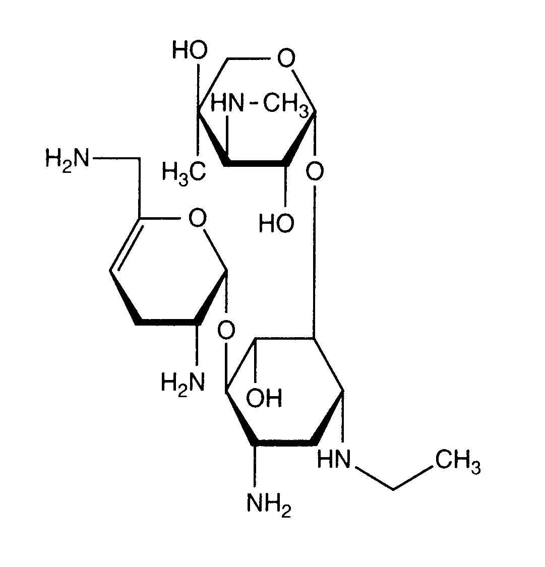
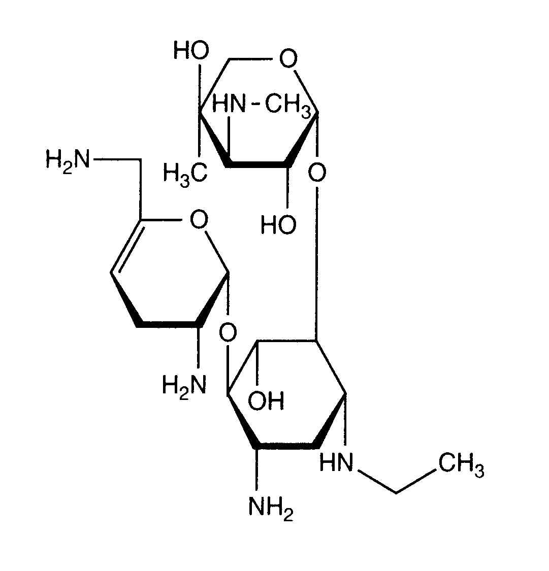
Антибиотик   Netilmicin sulfate   
Аэрозоль
Инъекция
Стабильность фармацевтических препаратов Стабильность смесей Факторы, которые влияют на стабильность Совместимость Библиография pdf
   Химическая структура  

Аэрозоль
Стабильность фармацевтических препаратов   Аэрозоль   Стабильность фармацевтических препаратов : Netilmicin sulfate      
данных нет

  Mentions Légales