Última actualización :
27/04/2026
Antibiótico   Netilmicin sulfate   
Aerosol
Inyectables
La estabilidad de las preparaciones farmacéuticas Estabilidad en mezcla Factores que influyen sobre la estabilidad Compatibilidades Bibliografía pdf
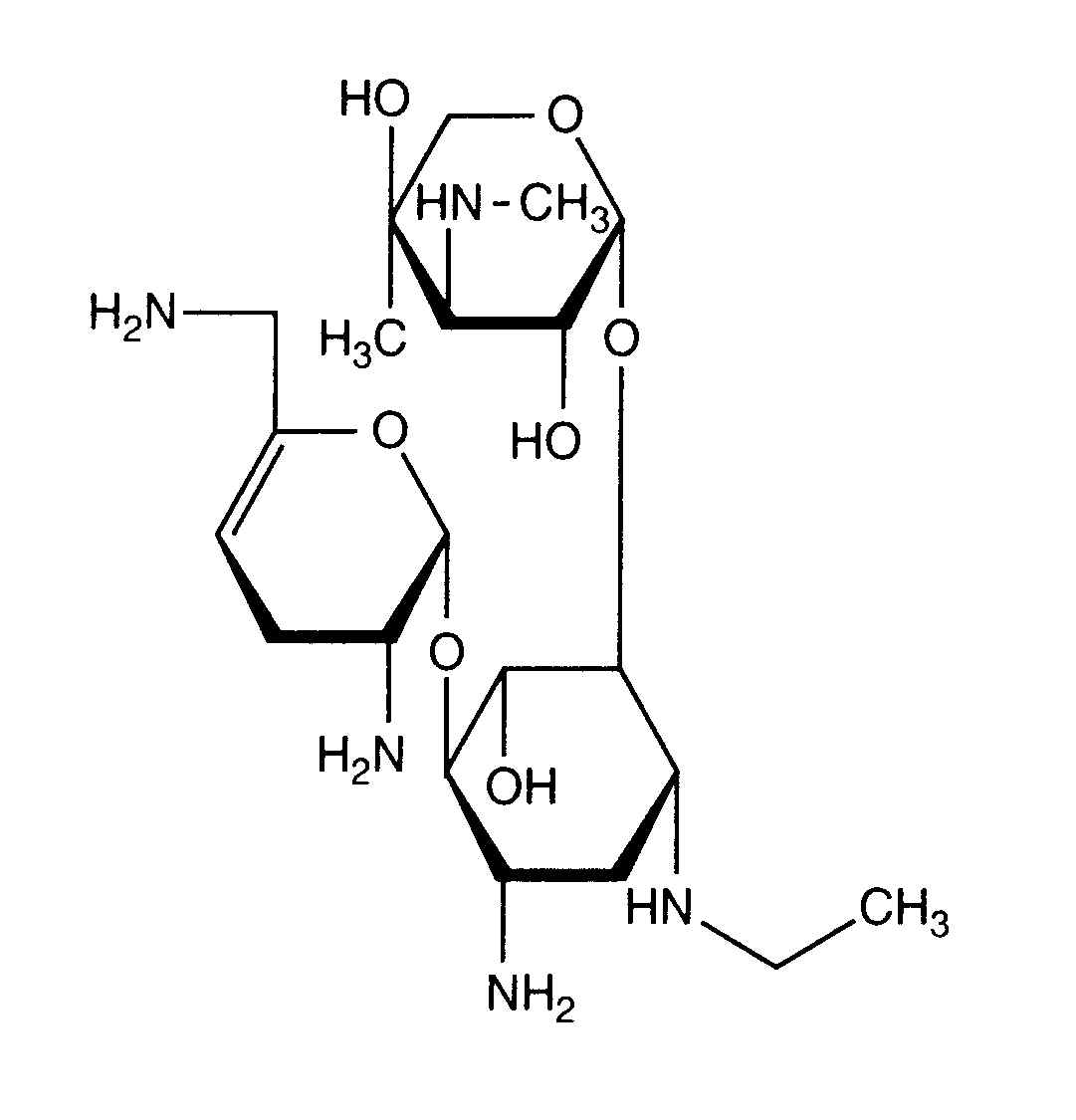
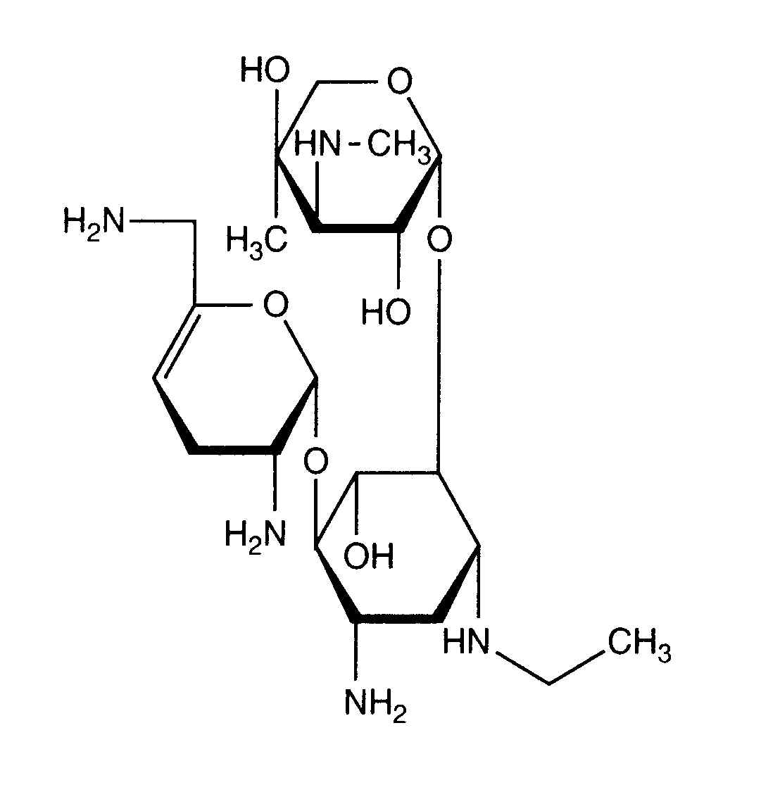
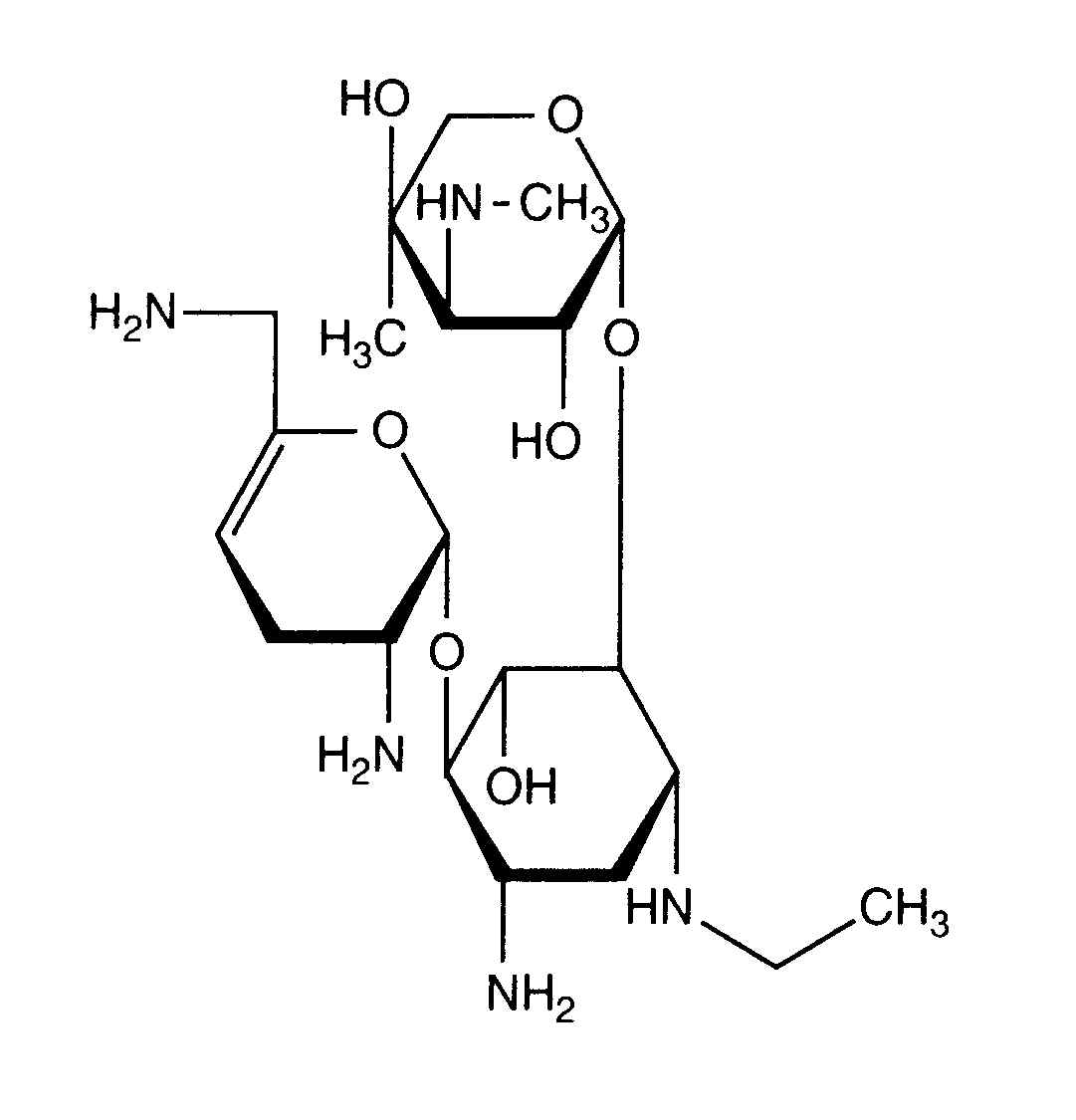
   Estructura química  

Aerosol
La estabilidad de las preparaciones farmacéuticas   Aerosol   La estabilidad de las preparaciones farmacéuticas : Netilmicin sulfate      
Ausencia de datos

  Mentions Légales