viimane versioon :
27/04/2026
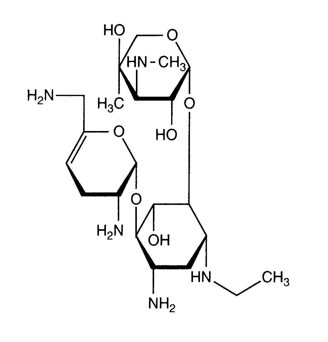
antibiootikum   Netilmicin sulfate   
aerosool
Süsteravim
Stabiilsust ravimpreparaadid Stabiilsust mõjutavad tegurid stabiilsust mõjutavad faktorid Sobimatus Viited pdf
   keemiline struktuur  

aerosool
Stabiilsust ravimpreparaadid   aerosool   Stabiilsust ravimpreparaadid : Netilmicin sulfate      
andmed puuduvad

  Mentions Légales