最新更新 :
27/04/2026
抗生素   Netilmicin sulfate   
气雾剂
注射液
制剂的稳定性 混合物稳定性 影响稳定性的因素 兼容性 引用文献 PDF
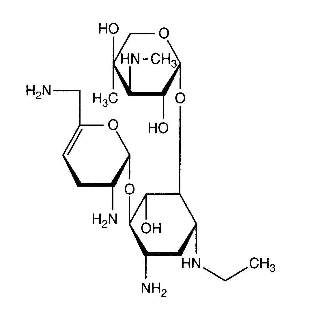
   化学式  

气雾剂
制剂的稳定性   气雾剂   制剂的稳定性 : Netilmicin sulfate      
无数据

  Mentions Légales