Τελευταία ενημέρωση :
27/04/2026
Αντιβιοτικό   Netilmicin sulfate   
Αεροζόλ
Ενέσιμο
Σταθερότητα και συμβατότητα των φαρμάκων Σταθερότητα σε μίγματα Παράγοντας που επηρεάζει τη σταθερότητα Συμβατότητες Βιβλιογραφία pdf
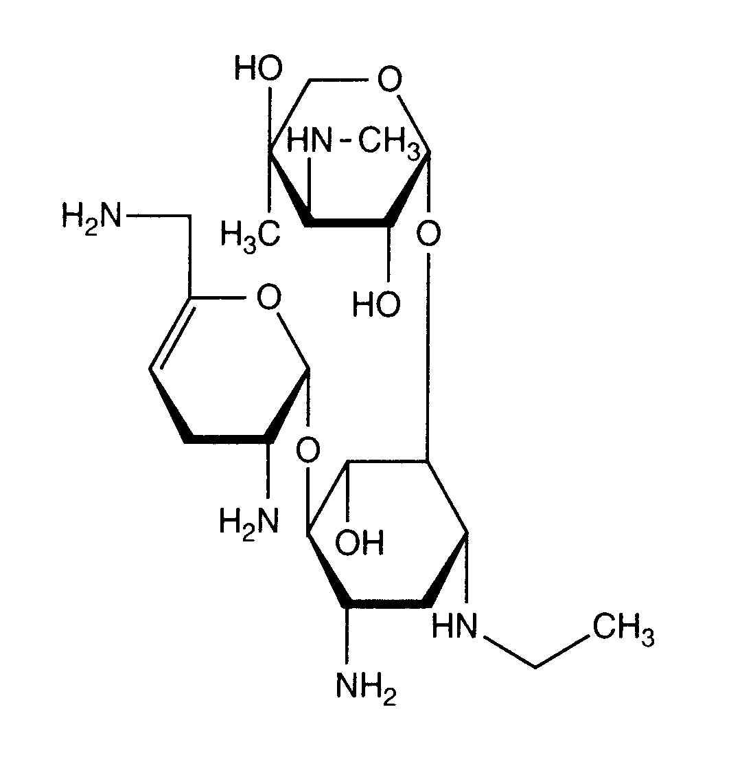
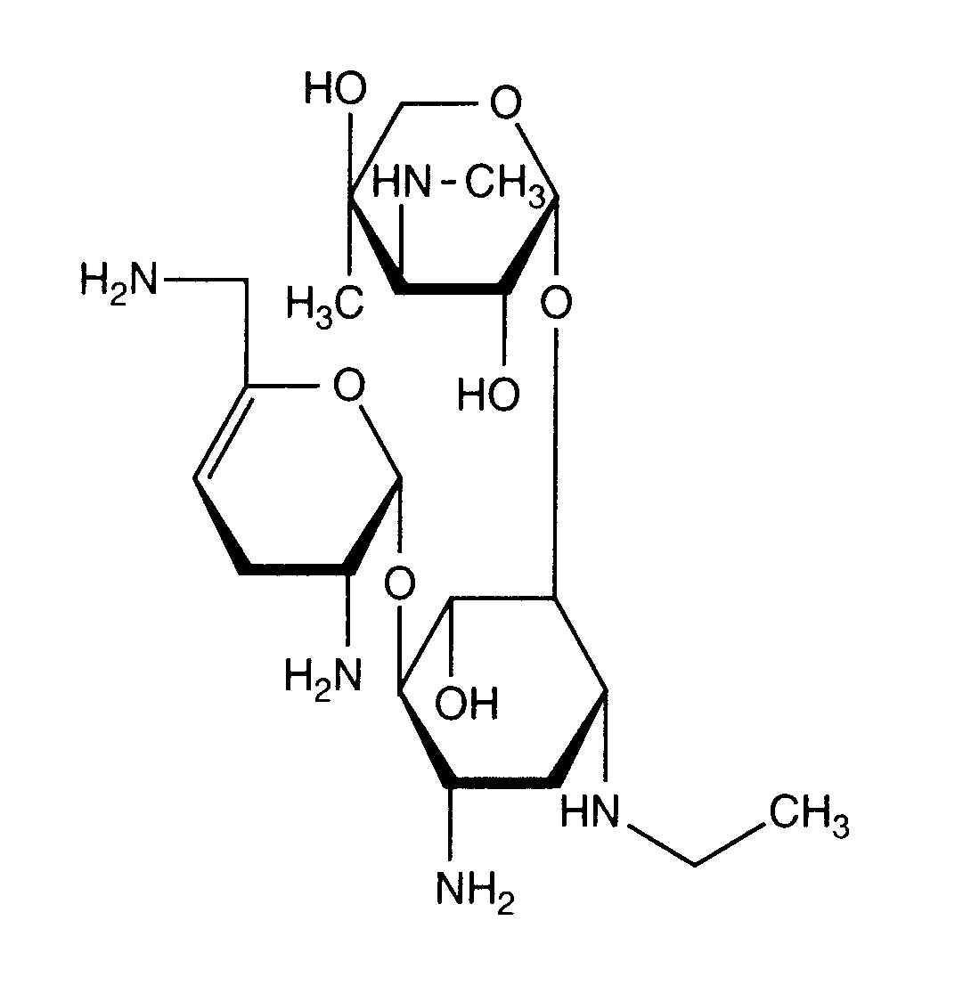
   χημική δομή  

Αεροζόλ
Σταθερότητα και συμβατότητα των φαρμάκων   Αεροζόλ   Σταθερότητα και συμβατότητα των φαρμάκων : Netilmicin sulfate      
Δεν υπάρχουν πληροφορίες

  Mentions Légales