Dernière mise à jour :
27/04/2026
Antibiotique   Netilmicin sulfate   
Aérosol
injectable
Stabilité des préparations Stabilité en mélange Facteur influençant la stabilité Compatibilités Bibliographie pdf
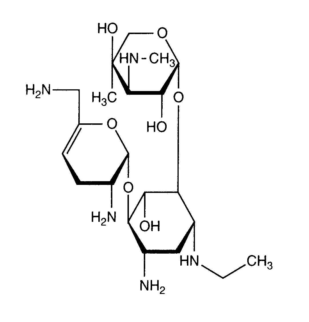
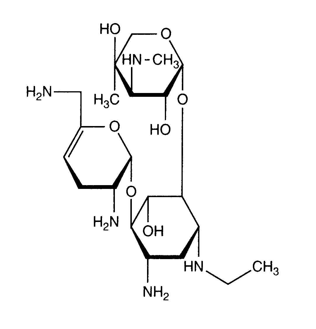
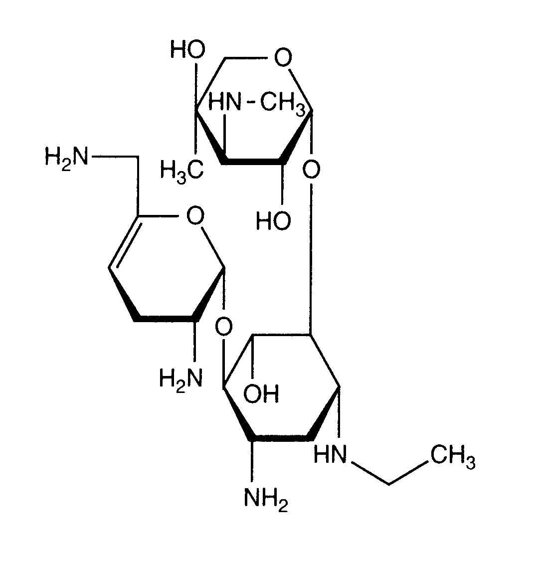
   Structure chimique  

Aérosol
Stabilité des préparations   Aérosol   Stabilité des préparations : Netilmicin sulfate      
Aucune donnée

  Mentions Légales