Cập nhật lần cuối :
27/04/2026
Thuốc chống nấm   Amphotericin B   
Dung dịch uống
Dạng tiêm Khí dung Thuốc nhỏ mắt Thuốc súc miệng
Tính ổn định của các chế phẩm Độ ổn định khi trộn lẫn Những yếu tố ảnh hưởng đến độ ổn định Khả năng tương thích Tài liệu tham khảo Pdf
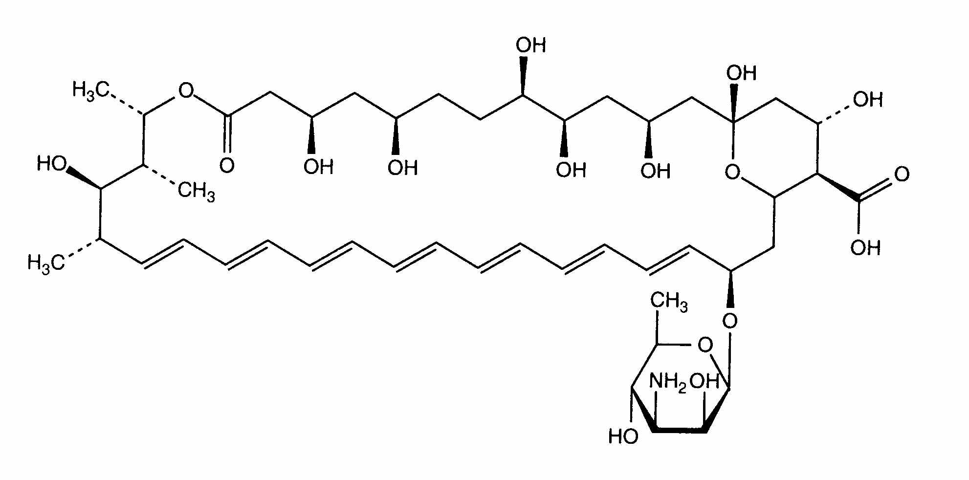
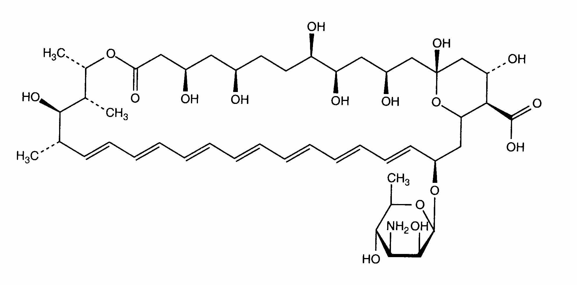
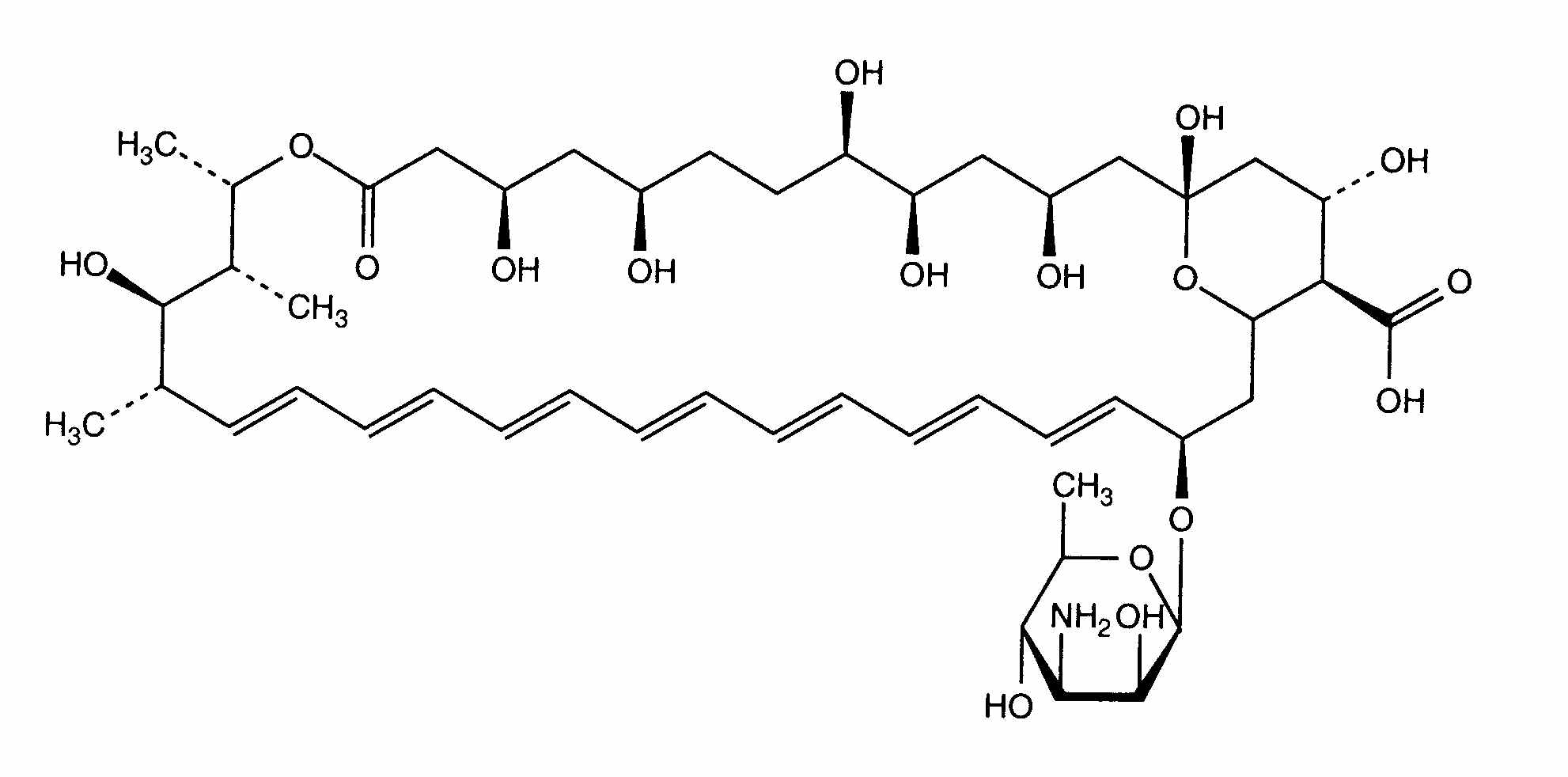
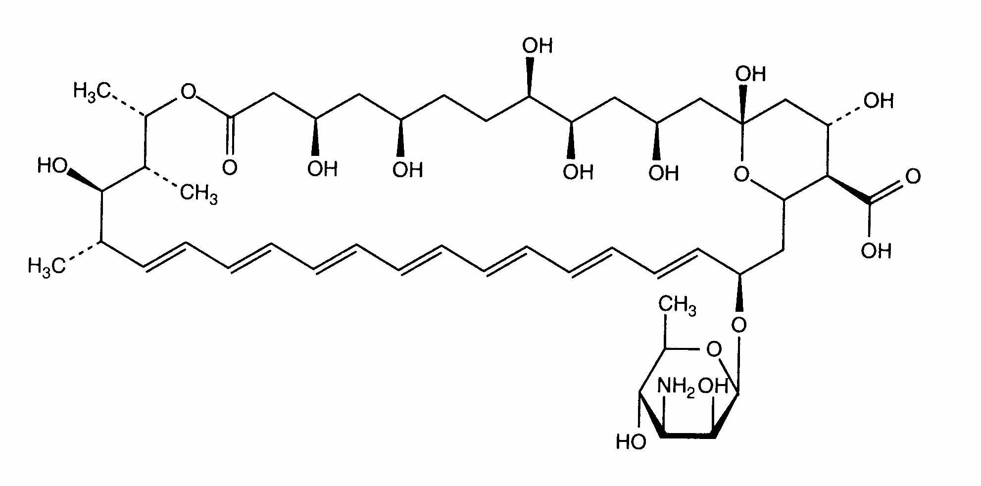
   Cấu trúc hóa học  

Dung dịch uống

Những yếu tố ảnh hưởng đến độ ổn định   Dung dịch uống   Những yếu tố ảnh hưởng đến độ ổn định : Amphotericin B         
Không có dữ liệu

  Mentions Légales