Dernière mise à jour :
27/04/2026
Antifongique   Amphotericin B   
Solution buvable
Aérosol Collyre Gargarisme injectable
Stabilité des préparations Stabilité en mélange Facteur influençant la stabilité Compatibilités Bibliographie pdf
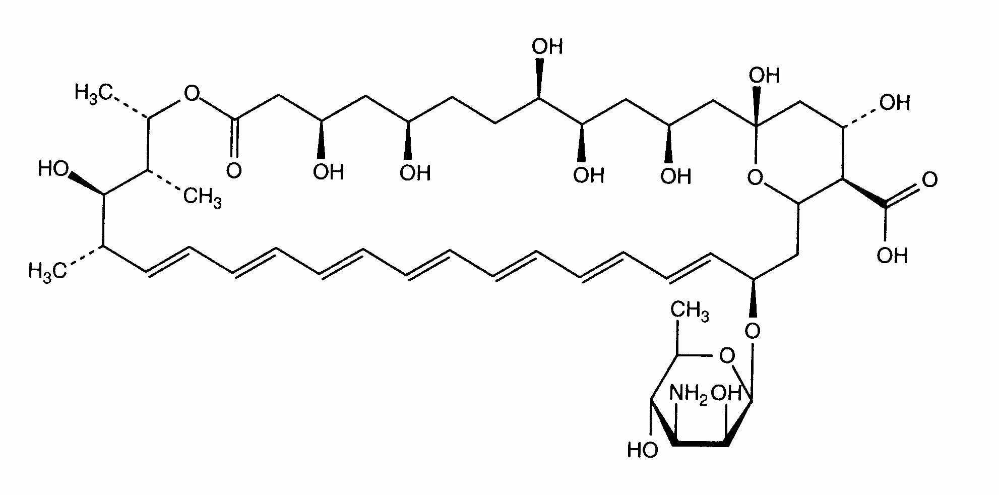
   Structure chimique  

Solution buvable

Facteur influençant la stabilité   Solution buvable   Facteur influençant la stabilité : Amphotericin B         
Aucune donnée

  Mentions Légales