Pēdējā atjaunošana :
27/04/2026
Pretsēnīšu līdzeklis   Amphotericin B   
Orāls šķīdums
Acu pilieni Aerosols Injekcija Mutes skalojamais līdzeklis
Stabilitāte farmaceitisko preparātu Maisījuma stabilitāte Stabilitāti ietekmējoši faktori Saderība Literatūras saraksts pdf
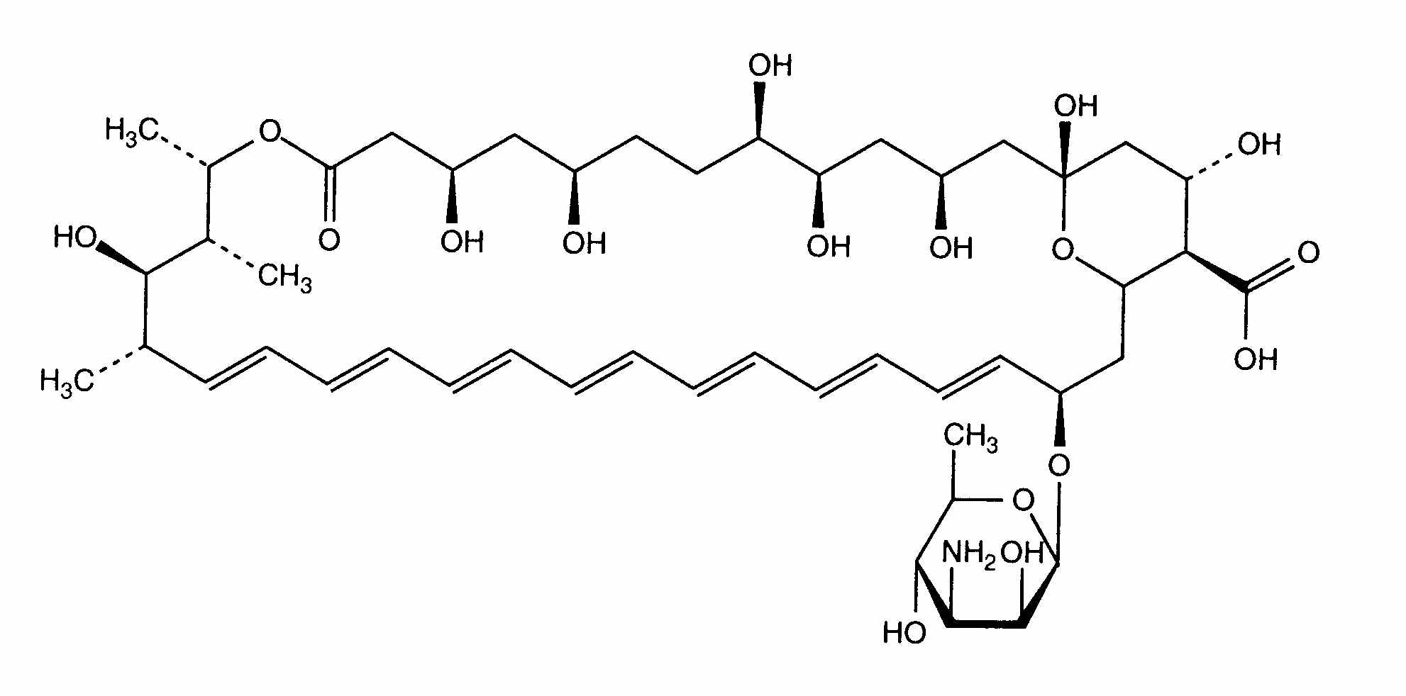
   Ķīmiskā uzbūve   

Orāls šķīdums

Stabilitāti ietekmējoši faktori   Orāls šķīdums   Stabilitāti ietekmējoši faktori : Amphotericin B         
Nav datu

  Mentions Légales