Seneste opdatering :
27/04/2026
Antisvampe   Amphotericin B   
Oral opløsning
Aerosol Injektion Mundskyllevæske Øjendråber
Stabilitet af farmaceutiske tilberedninger Stabilitet i blandinger Faktorer der påvirker stabiliteten Kompatibilitet Bibliografi pdf
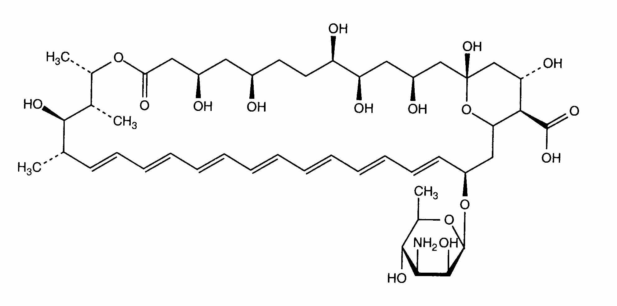
   Kemisk struktur  

Oral opløsning

Faktorer der påvirker stabiliteten   Oral opløsning   Faktorer der påvirker stabiliteten : Amphotericin B         
Ingen data

  Mentions Légales