Utolsó frissítés :
27/04/2026
Gombaellenes szer   Amphotericin B   
belsőleges oldat
aeroszol Injekció Szájvíz Szemcsepp
Stabilitása gyógyszerészeti készítmények A keverékek stabilitása Stabilitást befolyásoló tényezők Kompatibilitás Irodalom pdf
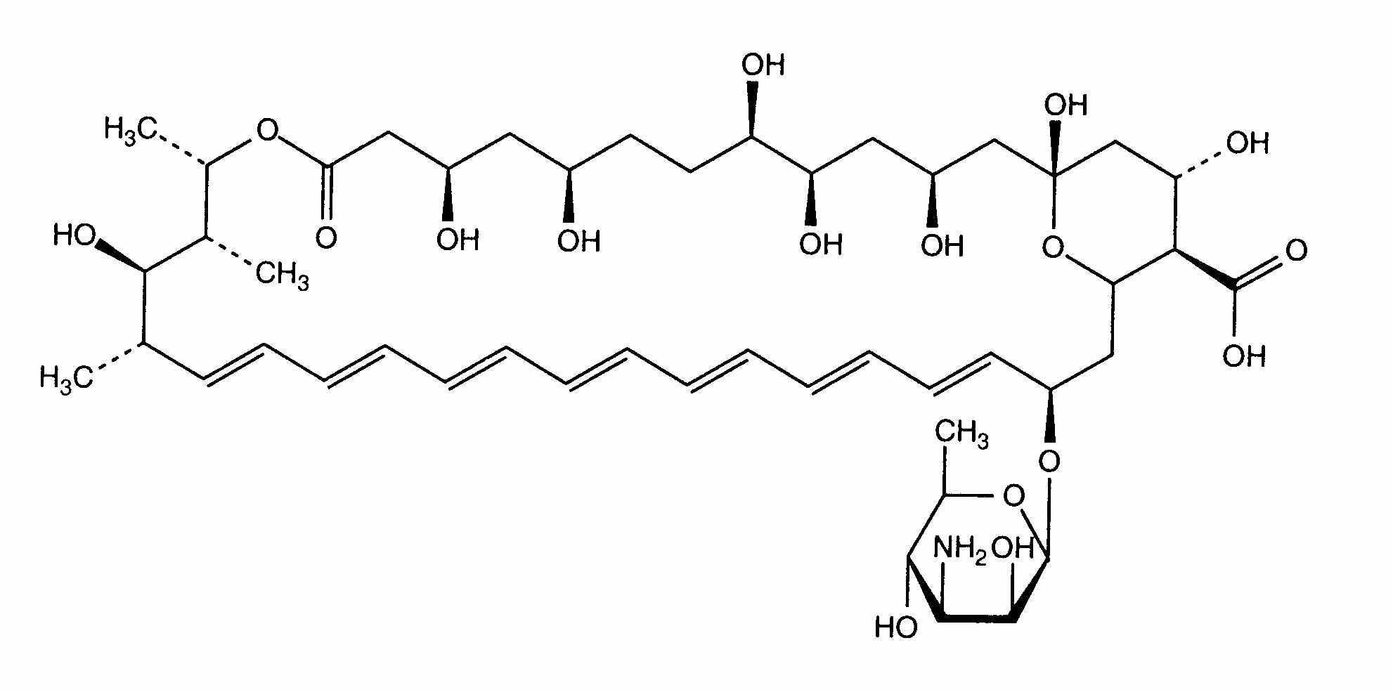
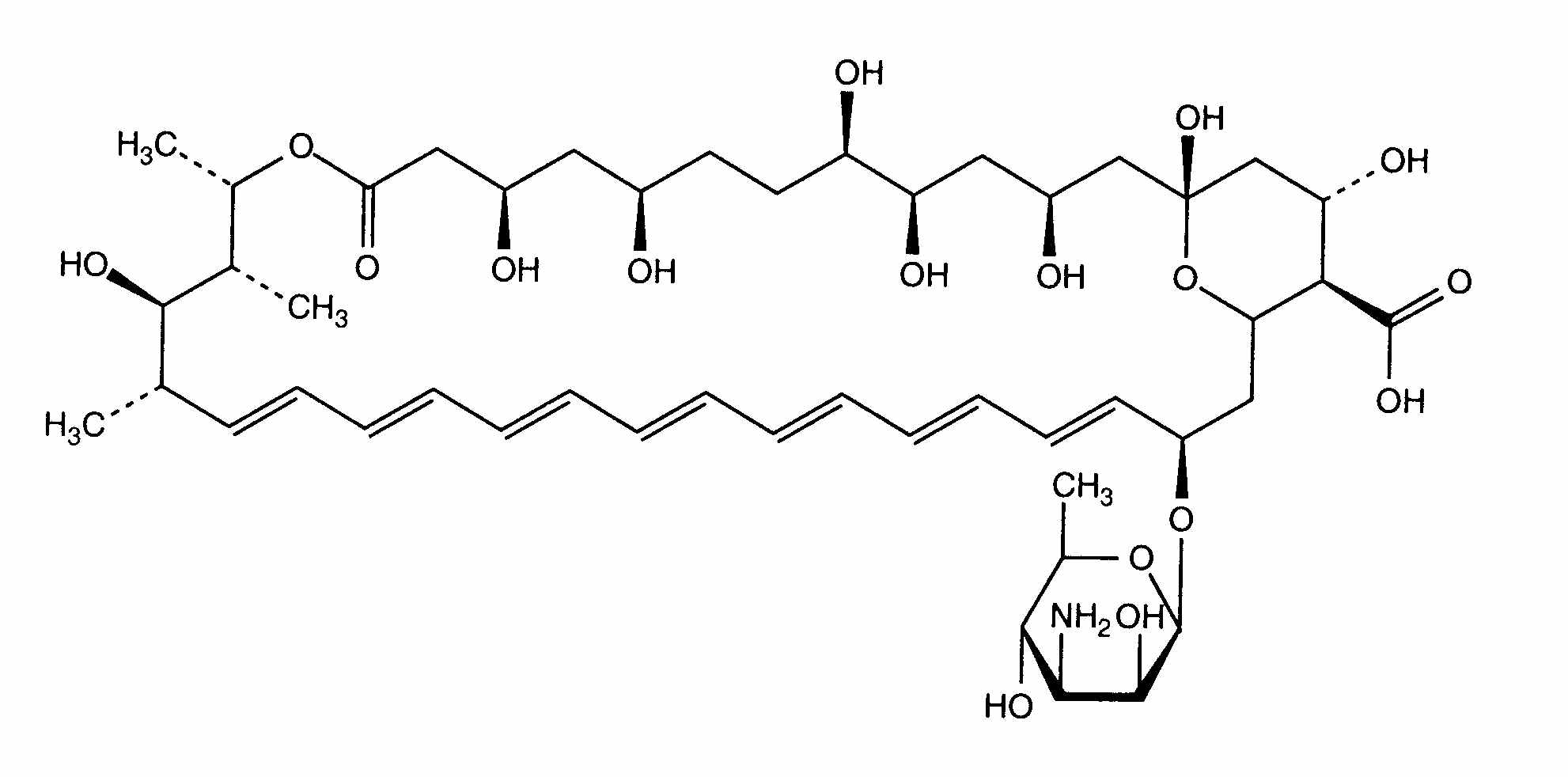
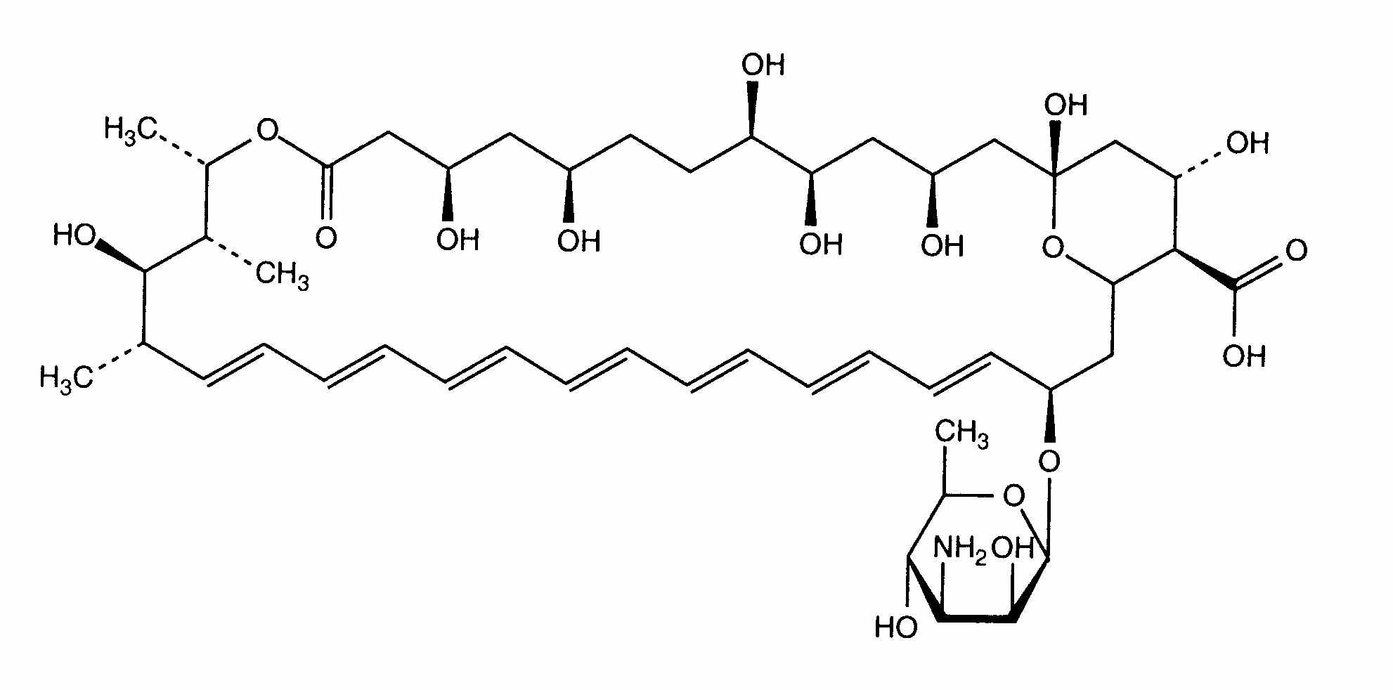
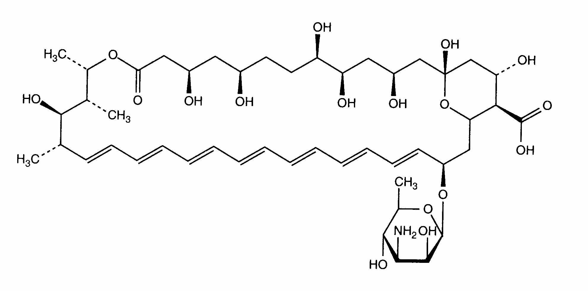
   Kémiai szerkezet   

belsőleges oldat

Stabilitást befolyásoló tényezők   belsőleges oldat   Stabilitást befolyásoló tényezők : Amphotericin B         
Hiányzó adat

  Mentions Légales