Ostatnia aktualizacja :
27/04/2026
Lek przeciwgrzybiczny   Amphotericin B   
Roztwór doustny
Aerozol Injekcje Krople oczne Roztwór do płukania gardła
Stabilność preparatów farmaceutycznych Trwałość w mieszaninie Czynnik wpływający na trwałość Zgodność Bibliografia pdf
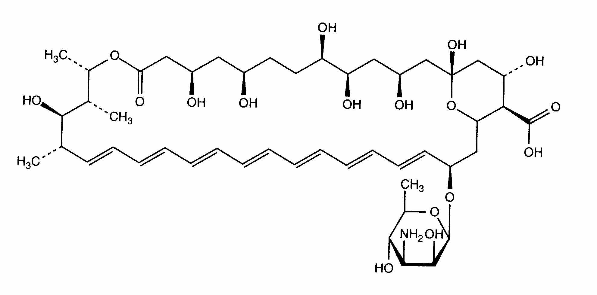
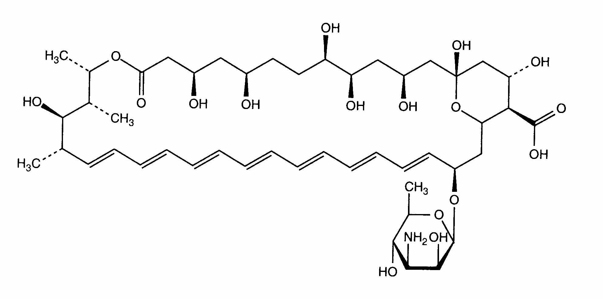
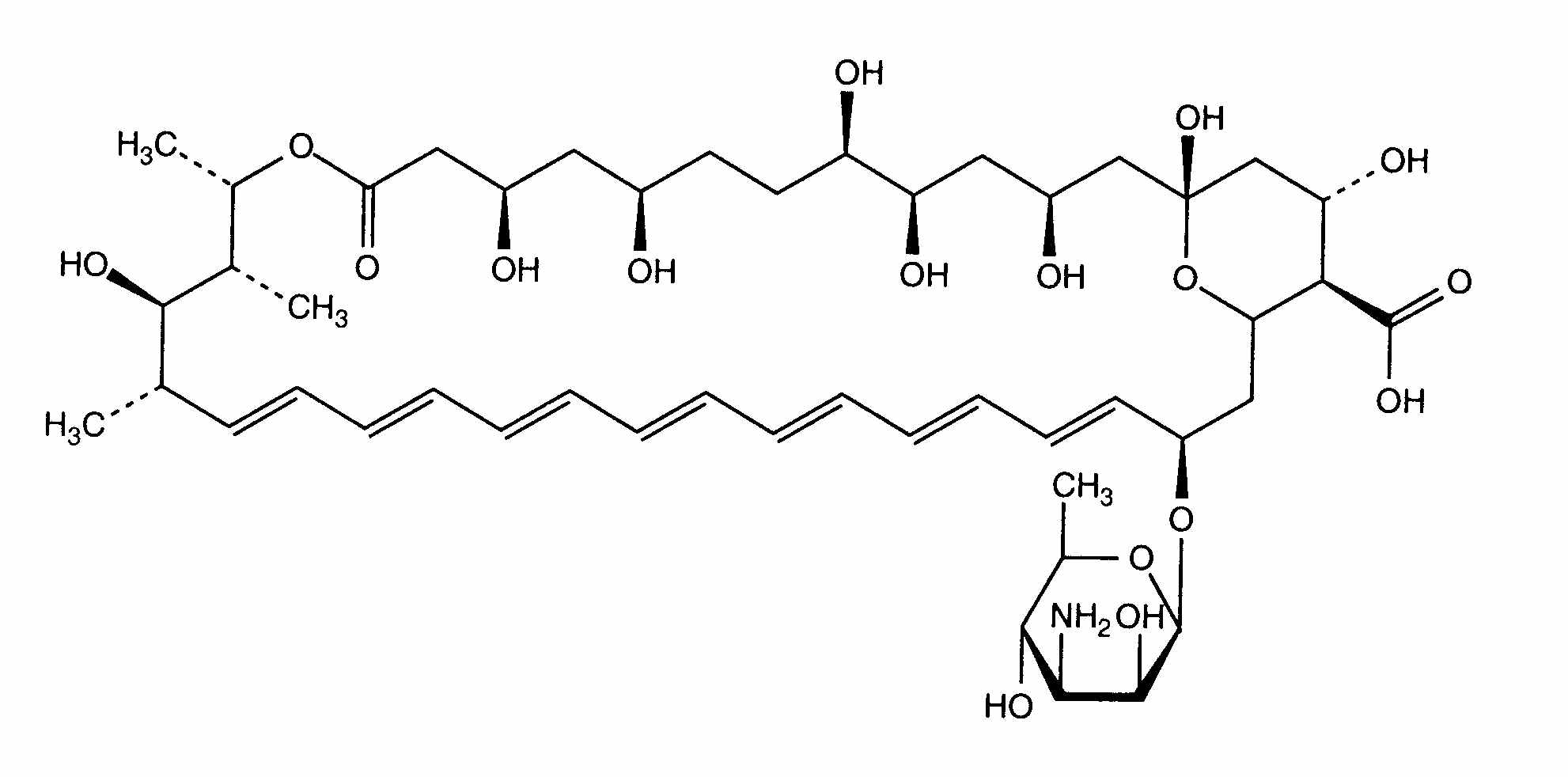
   Struktura chemiczna  

Roztwór doustny

Czynnik wpływający na trwałość   Roztwór doustny   Czynnik wpływający na trwałość : Amphotericin B         
Brak danych

  Mentions Légales