Son güncelleme :
27/04/2026
Antifungal   Amphotericin B   
Oral solüsyon / oral çözelti
Aerosol Enjeksiyon Gargara Göz damlası
Farmasötik preparatlar Kararlılığı Karışımlardaki stabilitesi Stabiliteyi etkileyen faktörler Uyumluluk Kaynaklar pdf
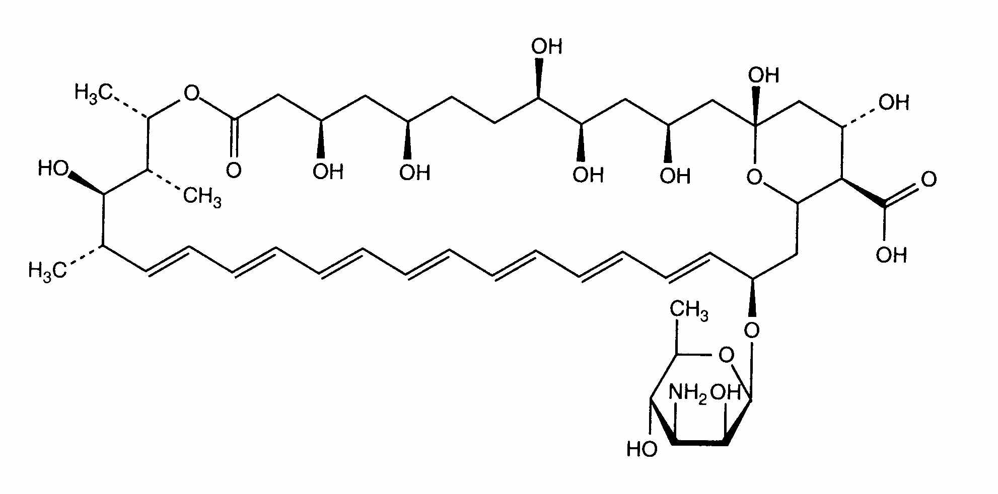
   Kimyasal yapı   

Oral solüsyon / oral çözelti

Stabiliteyi etkileyen faktörler    Oral solüsyon / oral çözelti   Stabiliteyi etkileyen faktörler : Amphotericin B         
veri yok

  Mentions Légales