Laatste update :
27/04/2026
Antimycoticum   Amphotericin B   
Orale Oplossing
Aerosol gorgelen injecteerbaar geneesmiddel Oogwater
Stabiliteit van farmaceutische preparaten Stabiliteit in mengsels Factoren die de stabiliteit beïnvloeden Verenigbaarheden Literatuur pdf
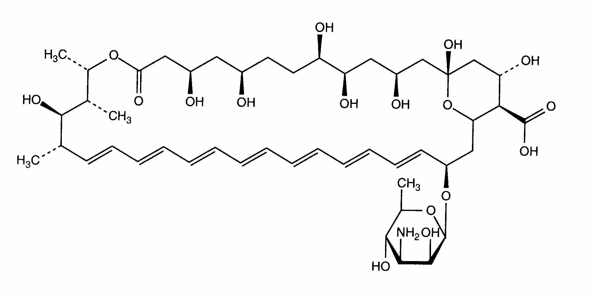
   Molecuulstructuur  

Orale Oplossing

Factoren die de stabiliteit beïnvloeden   Orale Oplossing   Factoren die de stabiliteit beïnvloeden : Amphotericin B         
geen gegevens

  Mentions Légales