zadnja posodobitev :
27/04/2026
Antimikotik   Amphotericin B   
Peroralna raztopina
Aerosol Brizgalka Kapljice za oči Ustna voda
Stabilnost farmacevtskih preparatov Stabilnost mešanice Faktorji, ki vplivajo na stabilnost Kompatibilnost Viri pdf
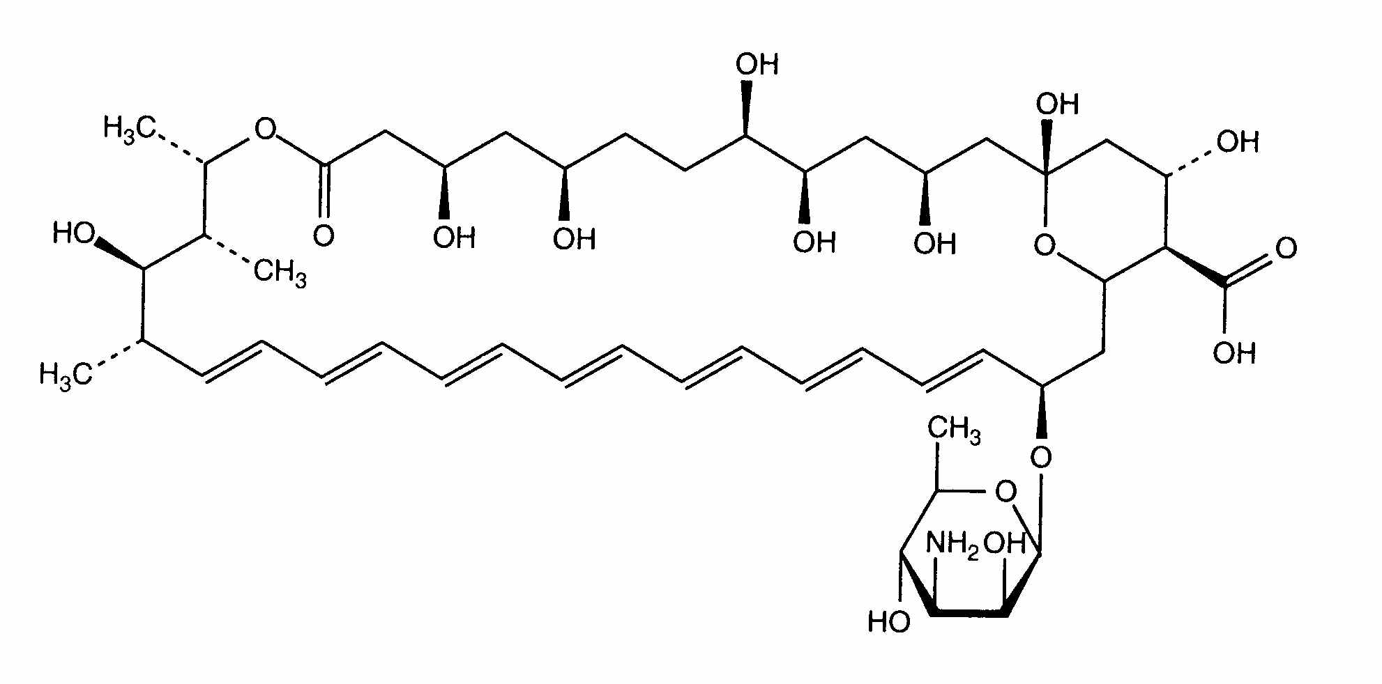
   Kemična formula  

Peroralna raztopina

Faktorji, ki vplivajo na stabilnost   Peroralna raztopina   Faktorji, ki vplivajo na stabilnost : Amphotericin B         
ni podatka

  Mentions Légales