Poslední aktualizace :
27/04/2026
Priešgrybelinis vaistas   Amphotericin B   
Geriamas tirpalas
Aerozolis Akių lašai Įpurškimas Skystis burnai skalauti
Stabilumas farmacinių preparatų Mišinių stabilumas Stabilumą lemiantys veiksniai Suderinamumas Bibliografija pdf
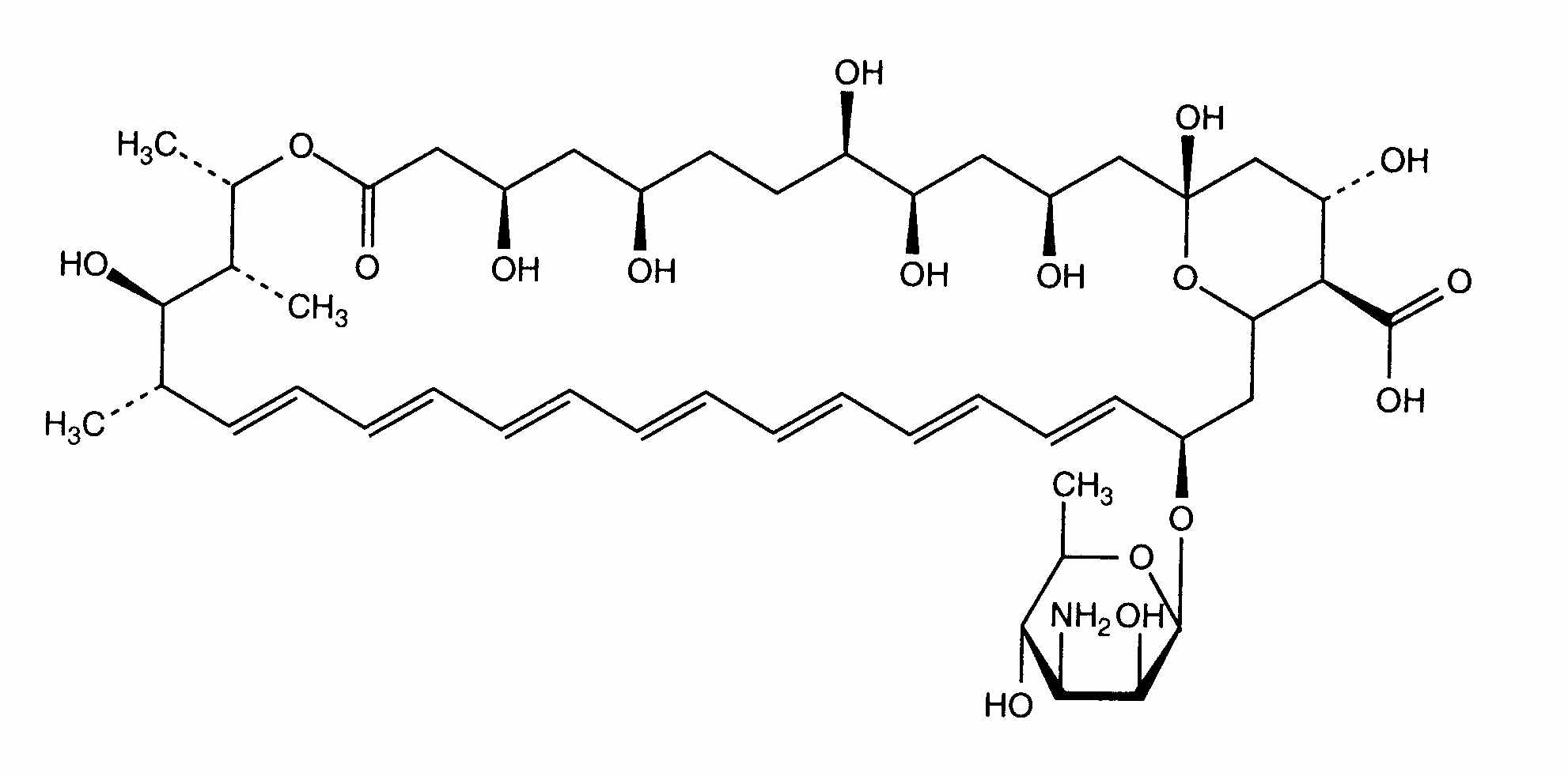
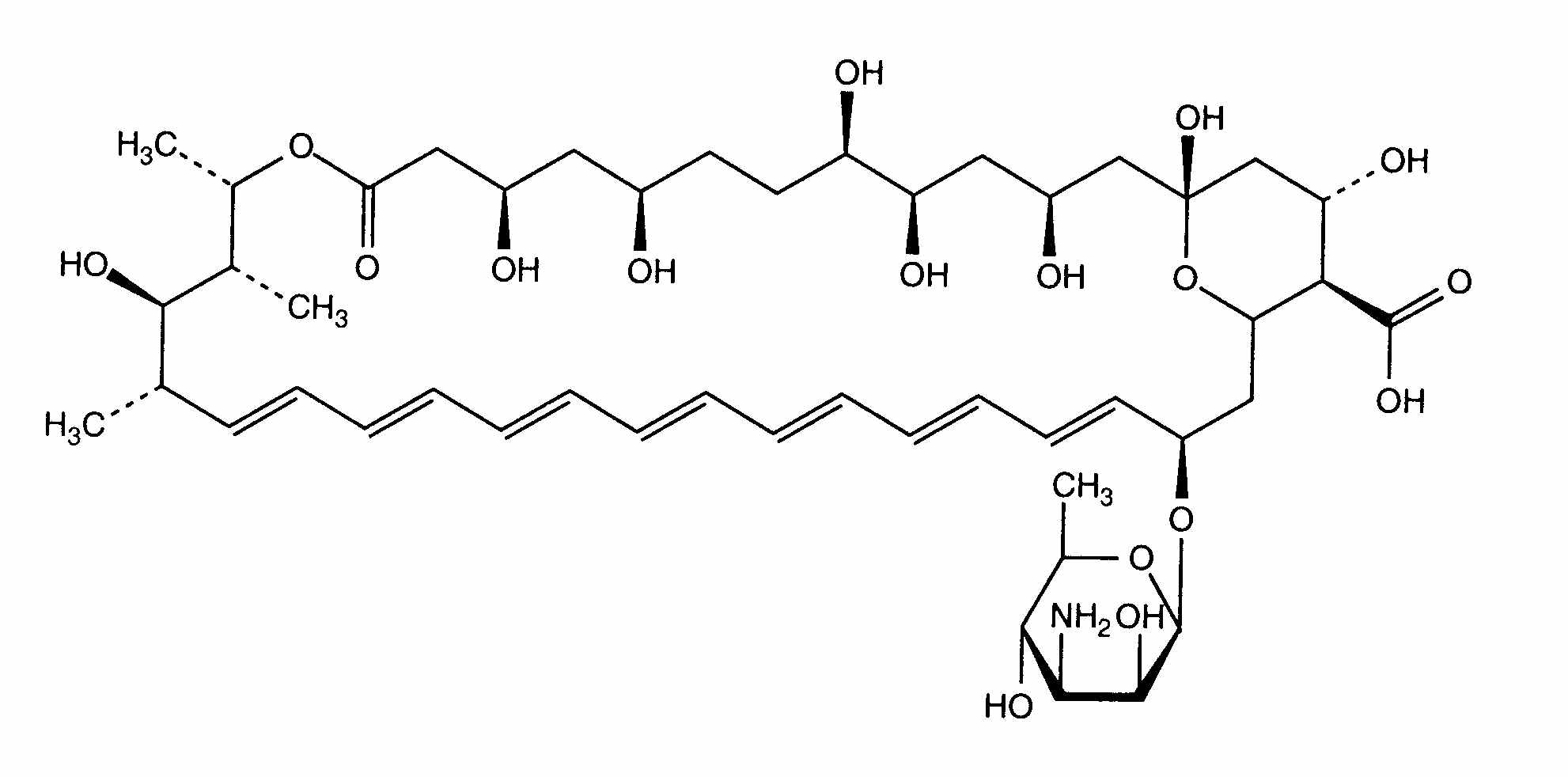
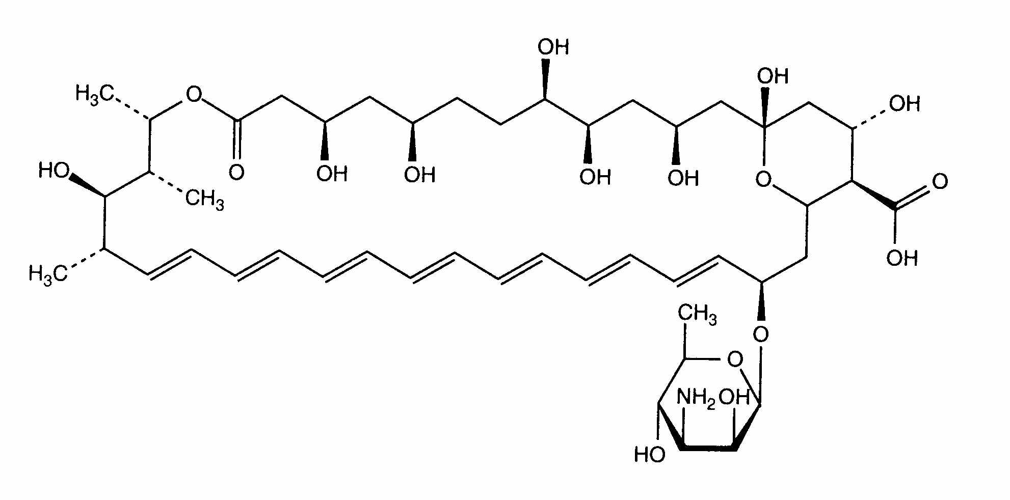
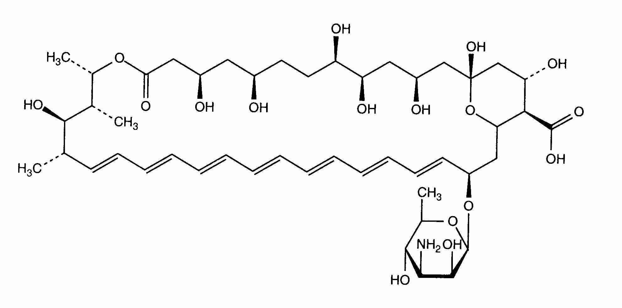
   Cheminė sandara  

Geriamas tirpalas

Stabilumą lemiantys veiksniai   Geriamas tirpalas   Stabilumą lemiantys veiksniai : Amphotericin B         
Nėra duomenų

  Mentions Légales