Last update :
27/04/2026
Antifungal   Amphotericin B   
Oral solution
aerosol Eye-drops injection Mouthwash
Stability of pharmaceutical preparations Stability of mixtures Factors which affect stability Compatibility References pdf
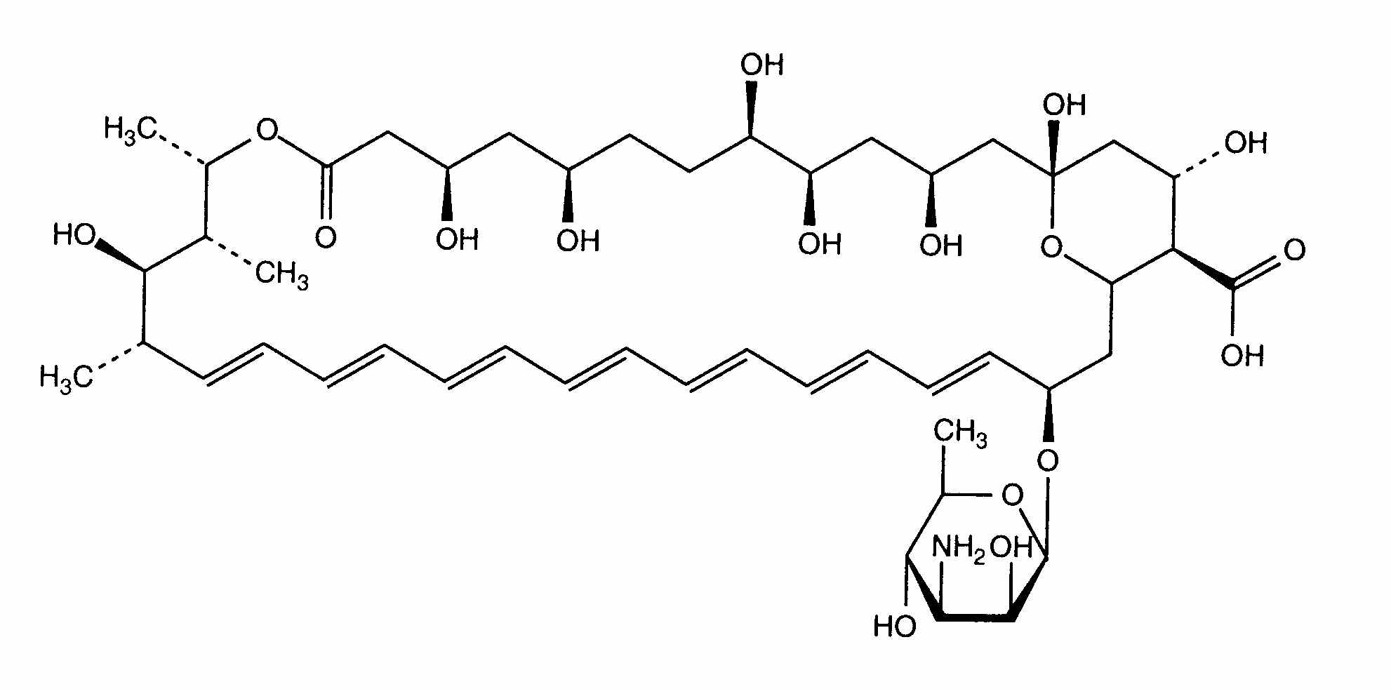
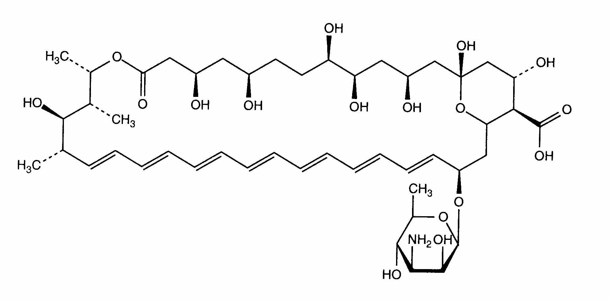
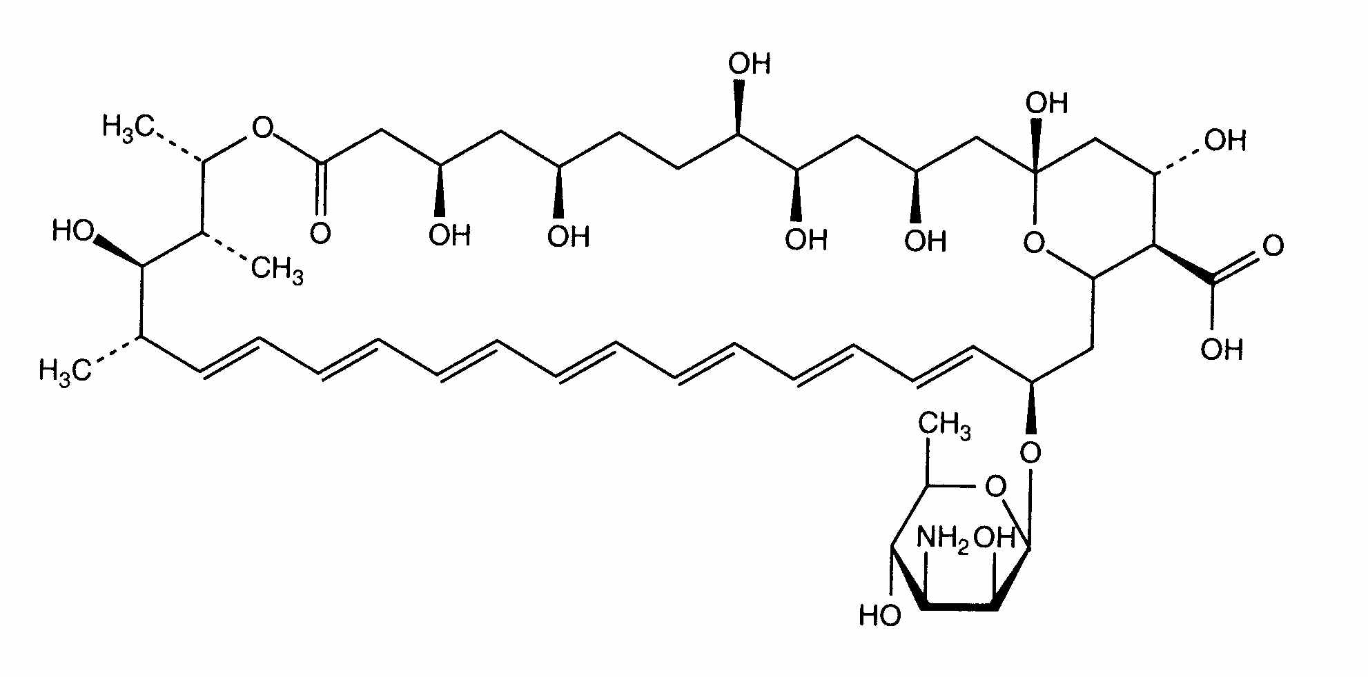
   Chemical structure  

Oral solution

Factors which affect stability   Oral solution   Factors which affect stability : Amphotericin B         
No data

  Mentions Légales