Ostatnia aktualizacja :
27/01/2026
Lek cytostatyk   Cabazitaxel  
Injekcje
Trwałość roztworów Trwałość w mieszaninie Czynnik wpływający na trwałość Zgodność Sposób podania Bibliografia pdf
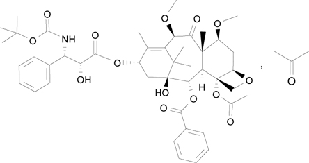
   Struktura chemiczna  

Nazwa handlowa   Nazwa handlowa     

Trade names are indicative and excipients composition can be different depending on the country and manufacturers

Cabazil Argentyna
Cabazitaxel Dania, Finlandia, Hiszpania, Niemcy
Cecalter Argentyna
Jevtana Argentyna, Australia, Belgia, Brazylia, Chile, Dania, Ekwador, Finlandia, Francja , Hiszpania, Islandia, Kanada, KolumbiaKolumbia, Malezja, Meksyk, Niemcy, Norwegia, Peru, Rumunia, Stany Zjednoczone Ameryki, Szwajcaria, Słowenia, Turcja, Wielka Brytania, Włochy
Proazitax Brazylia
Xatiza Chile
Zitat Argentyna
Bibliografia   Injekcje   Bibliografia : Cabazitaxel  
typ publikacja
3237 Laboratorium Cabazitaxel (Jevtana®) - Résumé des caractéristiques du produit.
Sanofi Aventis France 2011
3804 Czasopismo Lazzarini R, Salvadori S, Trapella C, Guerrini R, Marzola E, Pasini G, Dalpiaz A.
Physicochemical stability of cabazitaxel and docetaxel solutions.
EJHP 2014 ;22:150-155.
4761 Czasopismo D'Huart E, Sacrez M, Vigneron J, Demoré B.
Physicochemical stability of Cabazitaxel Zentiva® solution in vials after opening and diluted- solutions in three infusion bags.
Pharmaceutical Technology in Hospital Pharmacy 2023 ; 8(1): 20220009
4800 plakat H Ma N, Law S, Walker S.
Stability of Dr.Reddy’s Cabazitaxel Following Reconstitution with Manufacturer’s Diluent & Dilution with Sodium Chloride and Dextrose 5% in non-PVC non-DEHP bags and Original Glass Vials at 25°C, 4°C and -20°C.
2023

  Mentions Légales