Posledná aktualizácia :
27/01/2026
Protinádorová liečba   Cabazitaxel  
Injekcia
Stabilita roztokov Stabilita v zmesiach Faktory ovplyvňujúce stabilitu Kompatibility spôsob podania Odkazy na literatúru PDF
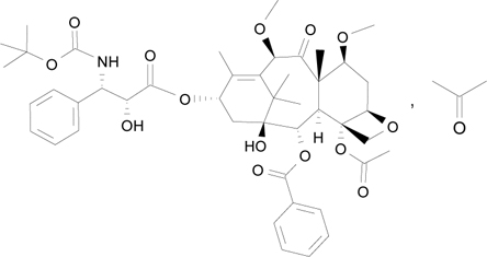
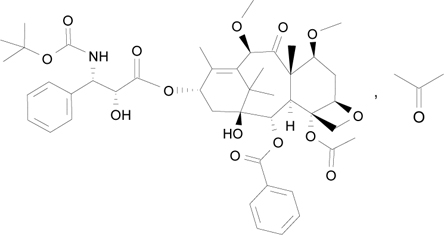
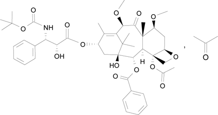
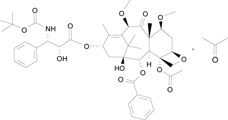
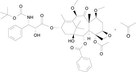
   Chemický vzorec  

Obchodný názov   Obchodný názov     

Obchodné názvy sú orientačné, a zloženie pomocných látok sa môže líšiť v závislosti od krajiny a výrobcu.

Cabazil Argentína
Cabazitaxel Dánsko, Fínsko, Nemecko, Španielsko
Cecalter Argentína
Jevtana Argentína, Austrália, Belgicko, Brazília, Čile, Dánsko, Ekvádor, Fínsko, Francúzsko, Island, Kanada, Kolumbia, Malajzia, Mexiko, Nemecko, Nórsko, peru, Rumunsko, Slovinsko, Španielsko, Spojené štáty Americké, Švajčiarsko, Taliansko, Turecko, Veľká Británia
Proazitax Brazília
Xatiza Čile
Zitat Argentína
Odkazy na literatúru   Injekcia   Odkazy na literatúru : Cabazitaxel  
Typ Publikácia
3237 Laboratórium Cabazitaxel (Jevtana®) - Résumé des caractéristiques du produit.
Sanofi Aventis France 2011
3804 Časopis Lazzarini R, Salvadori S, Trapella C, Guerrini R, Marzola E, Pasini G, Dalpiaz A.
Physicochemical stability of cabazitaxel and docetaxel solutions.
EJHP 2014 ;22:150-155.
4761 Časopis D'Huart E, Sacrez M, Vigneron J, Demoré B.
Physicochemical stability of Cabazitaxel Zentiva® solution in vials after opening and diluted- solutions in three infusion bags.
Pharmaceutical Technology in Hospital Pharmacy 2023 ; 8(1): 20220009
4800 Poster H Ma N, Law S, Walker S.
Stability of Dr.Reddy’s Cabazitaxel Following Reconstitution with Manufacturer’s Diluent & Dilution with Sodium Chloride and Dextrose 5% in non-PVC non-DEHP bags and Original Glass Vials at 25°C, 4°C and -20°C.
2023

  Mentions Légales