Zadnji put ažurirano :
27/01/2026
lijek protiv karcinoma   Cabazitaxel  
injekcija
Stabilizacija rješenja Stabilnost mješavine Stabilizacijski faktor Kompatibilnosti način davanja lijeka Bibliografija pdf
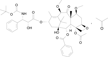
   Kemijska struktura  

Nekomercijalni   Nekomercijalni     

Zaštićeni nazivi su indikativni i sastav ekscipijensa može biti različit ovisno o državi i laboratorijima

Cabazil Argentina
Cabazitaxel Danska, Finska, Njemačka, Španjolska
Cecalter Argentina
Jevtana Argentina, Australija, Belgija, Brazil, Čile, Danska, Ekvador, Finska, Francuska, Island, Italija, Kanada, Kolumbija, Malezija, Meksiko, Njemačka, Norveška, Peru, Rumunjska, S A D, Slovenija, Španjolska, Švicarska, Turska, Velika Britanija
Proazitax Brazil
Xatiza Čile
Zitat Argentina
Bibliografija   injekcija   Bibliografija : Cabazitaxel  
Vrsta Publikacija
3237 Laboratorija Cabazitaxel (Jevtana®) - Résumé des caractéristiques du produit.
Sanofi Aventis France 2011
3804 Časopis Lazzarini R, Salvadori S, Trapella C, Guerrini R, Marzola E, Pasini G, Dalpiaz A.
Physicochemical stability of cabazitaxel and docetaxel solutions.
EJHP 2014 ;22:150-155.
4761 Časopis D'Huart E, Sacrez M, Vigneron J, Demoré B.
Physicochemical stability of Cabazitaxel Zentiva® solution in vials after opening and diluted- solutions in three infusion bags.
Pharmaceutical Technology in Hospital Pharmacy 2023 ; 8(1): 20220009
4800 Plakat H Ma N, Law S, Walker S.
Stability of Dr.Reddy’s Cabazitaxel Following Reconstitution with Manufacturer’s Diluent & Dilution with Sodium Chloride and Dextrose 5% in non-PVC non-DEHP bags and Original Glass Vials at 25°C, 4°C and -20°C.
2023

  Mentions Légales