Ultimo aggiornamento :
27/01/2026
farmaco contro il cancro   Cabazitaxel  
Iniezione
Stabilità in soluzione Stabilità in miscela Fattori che influenzano la stabilità Compatibilità metodo di iniezione Bibliografia pdf
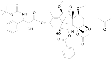
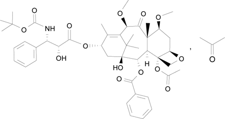
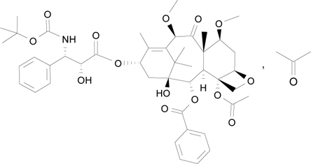
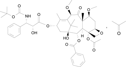
   Struttura chimica  

Nome commerciale   Nome commerciale     

Trade names are indicative and excipients composition can be different depending on the country and manufacturers

Cabazil Argentina
Cabazitaxel Danimarca, Finlandia, Germania, Spagna
Cecalter Argentina
Jevtana Argentina, Australia, Belgio, Brasile, Canada, Chile, Colombia, Danimarca, Ecuador, Finlandia, Francia, Germania, Gran Bretagna, Islanda, Italia, Malaysia, Messico, Norvegia, Perù, Romania, Slovenia, Spagna, Stati Uniti d’America, Svizzera, Turchia
Proazitax Brasile
Xatiza Chile
Zitat Argentina
Bibliografia   Iniezione   Bibliografia : Cabazitaxel  
tipo pubblicazione
3237 Laboratorio Cabazitaxel (Jevtana®) - Résumé des caractéristiques du produit.
Sanofi Aventis France 2011
3804 Rivista Lazzarini R, Salvadori S, Trapella C, Guerrini R, Marzola E, Pasini G, Dalpiaz A.
Physicochemical stability of cabazitaxel and docetaxel solutions.
EJHP 2014 ;22:150-155.
4761 Rivista D'Huart E, Sacrez M, Vigneron J, Demoré B.
Physicochemical stability of Cabazitaxel Zentiva® solution in vials after opening and diluted- solutions in three infusion bags.
Pharmaceutical Technology in Hospital Pharmacy 2023 ; 8(1): 20220009
4800 poster H Ma N, Law S, Walker S.
Stability of Dr.Reddy’s Cabazitaxel Following Reconstitution with Manufacturer’s Diluent & Dilution with Sodium Chloride and Dextrose 5% in non-PVC non-DEHP bags and Original Glass Vials at 25°C, 4°C and -20°C.
2023

  Mentions Légales